相关习题
 0  76959  76967  76973  76977  76983  76985  76989  76995  76997  77003  77009  77013  77015  77019  77025  77027  77033  77037  77039  77043  77045  77049  77051  77053  77054  77055  77057  77058  77059  77061  77063  77067  77069  77073  77075  77079  77085  77087  77093  77097  77099  77103  77109  77115  77117  77123  77127  77129  77135  77139  77145  77153  199269 

科目: 来源:数学教研室 题型:039

直接写出得数.

(1)÷3=

(2)0×=(  )

(3)1÷=

 

查看答案和解析>>

科目: 来源:数学教研室 题型:039

直接写出得数.

(1)5=

(2)×=

(3)÷=

 

查看答案和解析>>

科目: 来源:数学教研室 题型:039

直接写出得数.

(1)

(2)

(3)

查看答案和解析>>

科目: 来源:数学教研室 题型:039

列综合算式解答.

一个数的等于80,求这个数.(用方程解答)

查看答案和解析>>

科目: 来源:数学教研室 题型:039

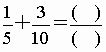
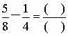
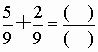
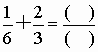
直接写出结果.(分数,先填分子,后填分母)

(1)3÷=(  )

(2)

(3)÷27=

 

查看答案和解析>>

科目: 来源:数学教研室 题型:039

直接写出结果.(分数,先填分子,后填分母;带分数,先填整数部分,后填分数部分)

(1)14×=(  )

(2)1÷=

(3)

(4)

(5)

(6)×12=(  )

查看答案和解析>>

科目: 来源:数学教研室 题型:039

看图列式.(分数,先填分子,后填分母)

查看答案和解析>>

科目: 来源:数学教研室 题型:039

口算.(分数,先填分子,后填分母;带分数,先填整数部分,再填分数部分)

(1)15×=(  )

(2)×=

(3)×=

(4)÷=(  )

(5)÷=

(6)16×4=(  )

查看答案和解析>>

科目: 来源:数学教研室 题型:039

平均分成10份,每份是(分数,先填分子,后填分母)

查看答案和解析>>

科目: 来源:数学教研室 题型:039

一个数的5倍是,这个数是(用方程解)(分数,先填分子,后填分母)

查看答案和解析>>

同步练习册答案