相关习题
 0  77126  77134  77140  77144  77150  77152  77156  77162  77164  77170  77176  77180  77182  77186  77192  77194  77200  77204  77206  77210  77212  77216  77218  77220  77221  77222  77224  77225  77226  77228  77230  77234  77236  77240  77242  77246  77252  77254  77260  77264  77266  77270  77276  77282  77284  77290  77294  77296  77302  77306  77312  77320  199269 

科目: 来源: 题型:039

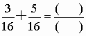
直接写出得数.(分数,先填分子,后填分母.)(带分数,先填整数部分,再填分子,最后填分母.)

(1)

(2)

(3)

(4)

查看答案和解析>>

科目: 来源: 题型:039

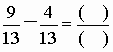
直接写出得数.(分数,先填分子,后填分母.)(带分数,先填整数部分,再填分子,最后填分母.)

(1)

(2)

(3)

(4)

查看答案和解析>>

科目: 来源: 题型:039

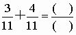
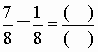
口算.(分数,先填分子,后填分母)

(1)

(2)

(3)

(4)

(5)

(6)

查看答案和解析>>

科目: 来源: 题型:039

一个长方体的展开图如下,求它的表面积.(单位:厘米)

查看答案和解析>>

科目: 来源: 题型:039

口算.

(1)0.5×52.5

(2)1.6×0.25

(3)8.62.42.6

(4)(52.5)×8

(5)3.2×0.2×5=

(6)8×4×2.5

(7)0.8×1.25×10

(8)7.1(2.11.5)

查看答案和解析>>

科目: 来源: 题型:039

口算.

(1)0.5×0.5×6

(2)3.2×0.25

(3)1.6÷2×25

(4)(53.5)×8

(5)0.8×0.8×6

(6)(2.11.5)×5

(7)0.4×1.3×0.5

(8)(1.62.4)×0.5

查看答案和解析>>

科目: 来源: 题型:039

口算下面各题.

(1)1.4×0.5×0.8

(2)(5.32.7)×2

(3)1.25×2×0.4

(4)(1.32.5)×2

(5)1.2×0.5×0.5

(6)0.25×2×8

(7)0.2×0.2×0.2

(8)1.5×4×0.05

查看答案和解析>>

科目: 来源: 题型:039

直接写出方程的解.

x÷1.5=5

x=

查看答案和解析>>

科目: 来源: 题型:039

直接写出结果.

(1)15x1.8x7.8x=

(2)cc=

查看答案和解析>>

科目: 来源: 题型:039

直接写出结果.

(1)4x1.3x=

(2)2×x×a=

查看答案和解析>>

同步练习册答案