相关习题
 0  80128  80136  80142  80146  80152  80154  80158  80164  80166  80172  80178  80182  80184  80188  80194  80196  80202  80206  80208  80212  80214  80218  80220  80222  80223  80224  80226  80227  80228  80230  80232  80236  80238  80242  80244  80248  80254  80256  80262  80266  80268  80272  80278  80284  80286  80292  80296  80298  80304  80308  80314  80322  199269 

科目: 来源: 题型:039

直接写出得数.

(1)48÷3=

(2)420÷70=

(3)160÷80=

(4)11×9=

(5)30×60=

(6)12×6=

(7)16×5=

(8)25×4=

(9)36÷2=

(10)78÷6=

   

查看答案和解析>>

科目: 来源: 题型:039

直接写出得数.

(1)4×11=

(2)15×6=

(3)24×3=

(4)51÷3=

(5)56÷4=

(6)66÷6=

(7)12×5=

(8)45÷9=

(9)33×2=

(10)400÷20=

   

查看答案和解析>>

科目: 来源: 题型:039

直接写出得数.

(1)7200÷90=

(2)87÷3=

(3)16×4=

(4)22×3=

(5)19×5=

 

查看答案和解析>>

科目: 来源: 题型:039

直接写出得数.

(1)12×5=

(2)63÷3=

(3)81×0=

(4)99÷9=

(5)90÷18=

 

查看答案和解析>>

科目: 来源: 题型:039

直接写出结果.

(1)24÷2=

(2)75÷3=

(3)12×30=

(4)5×11=

(5)300÷50=

 

查看答案和解析>>

科目: 来源: 题型:039

直接写出结果.

(1)11×7=

(2)66÷6=

(3)320÷80=

(4)90÷6=

(5)20×4=

 

查看答案和解析>>

科目: 来源: 题型:039

直接写出结果.

(1)18×2=

(2)40÷8=

(3)300÷60=

(4)420÷20=

(5)13×3=

 

查看答案和解析>>

科目: 来源: 题型:039

直接写出结果.

(1)13×6=

(2)15×2=

(3)40×30=

(4)15×6=

(5)240÷40=

 

查看答案和解析>>

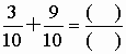
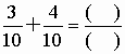
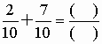
科目: 来源: 题型:039

加法:(分数,先填分子,后填分母)

(1)

(2)

(3)

(4)

(5)

(6)

查看答案和解析>>

科目: 来源: 题型:039

加法:(分数,先填分子,后填分母)

(1)

(2)

(3)

(4)

(5)

(6)

查看答案和解析>>

同步练习册答案