相关习题
 0  80546  80554  80560  80564  80570  80572  80576  80582  80584  80590  80596  80600  80602  80606  80612  80614  80620  80624  80626  80630  80632  80636  80638  80640  80641  80642  80644  80645  80646  80648  80650  80654  80656  80660  80662  80666  80672  80674  80680  80684  80686  80690  80696  80702  80704  80710  80714  80716  80722  80726  80732  80740  199269 

科目: 来源:义务教育课程标准实验教科书·数学(一年级下) 题型:071

小蝌蚪找妈妈.(用线连起来)

查看答案和解析>>

科目: 来源:义务教育课程标准实验教科书·数学(一年级下) 题型:071

先连线,再填空.

(  )<(  )<(  )<(  )<(  )

查看答案和解析>>

科目: 来源: 题型:071

0.780.8982%按从小到大的顺序排列起来:

(  )(  )(  )(  )

查看答案和解析>>

科目: 来源: 题型:071

8的约数有(  ),把这几个数组成一个比例是(  )

查看答案和解析>>

科目: 来源: 题型:071

2581610五个数中,选4个数组成的比例是(  )

查看答案和解析>>

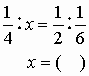
科目: 来源: 题型:071

解方程.

查看答案和解析>>

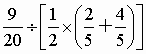
科目: 来源: 题型:071

计算,能简算的要简算.

查看答案和解析>>

科目: 来源: 题型:071

计算,能简算的要简算.

查看答案和解析>>

科目: 来源: 题型:071

1.0616%、这三个数中,最小的数是(  ),最大的数是(  )

查看答案和解析>>

科目: 来源: 题型:071

36的因数共有(  )个,其中最大的是(  ).从36的因数中选择四个数写成比例式是(    )

查看答案和解析>>

同步练习册答案