相关习题
 0  81000  81008  81014  81018  81024  81026  81030  81036  81038  81044  81050  81054  81056  81060  81066  81068  81074  81078  81080  81084  81086  81090  81092  81094  81095  81096  81098  81099  81100  81102  81104  81108  81110  81114  81116  81120  81126  81128  81134  81138  81140  81144  81150  81156  81158  81164  81168  81170  81176  81180  81186  81194  199269 

科目: 来源: 题型:039

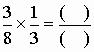
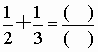
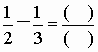
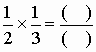
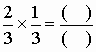
直接写出得数(分数,先填分子,后填分母.)

(1)

(2)

(3)

(4)

查看答案和解析>>

科目: 来源: 题型:039

直接写出得数(分数,先填分子,后填分母.)

(1)

(2)

(3)

(4)

查看答案和解析>>

科目: 来源: 题型:039

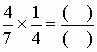
口算.(分数,先填分子,后填分母)

(1)

(2)

(3)

(4)

查看答案和解析>>

科目: 来源: 题型:039

口算.(分数,先填分子,后填分母;带分数,先填整数部分,后填分数部分)

(1)

(2)

(3)

(4)

查看答案和解析>>

科目: 来源: 题型:039

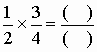
口算.(分数,先填分子,后填分母)

(1)

(2)

(3)

(4)

查看答案和解析>>

科目: 来源: 题型:039

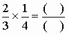
口算.(分数,先填分子,后填分母)

(1)

(2)

(3)

(4)

查看答案和解析>>

科目: 来源: 题型:039

口算.(分数,先填分子,后填分母)

(1)

(2)

(3)

(4)

查看答案和解析>>

科目: 来源: 题型:039

口算.(分数,先填分子,后填分母)

(1)

(2)

(3)

(4)

查看答案和解析>>

科目: 来源: 题型:039

口算.(分数,先填分子,后填分母)

(1)

(2)

(3)

(4)

查看答案和解析>>

科目: 来源: 题型:039

口算.(分数,先填分子,后填分母)

(1)

(2)

(3)

(4)

查看答案和解析>>

同步练习册答案