相关习题
 0  81002  81010  81016  81020  81026  81028  81032  81038  81040  81046  81052  81056  81058  81062  81068  81070  81076  81080  81082  81086  81088  81092  81094  81096  81097  81098  81100  81101  81102  81104  81106  81110  81112  81116  81118  81122  81128  81130  81136  81140  81142  81146  81152  81158  81160  81166  81170  81172  81178  81182  81188  81196  199269 

科目: 来源: 题型:039

直接写得数.(分数,先写分子,后写分母)

查看答案和解析>>

科目: 来源: 题型:039

直接写得数.(分数,先写分子,后写分母)

查看答案和解析>>

科目: 来源: 题型:039

直接写得数.(分数,先写分子,后写分母)

查看答案和解析>>

科目: 来源: 题型:039

直接写得数.(分数,先写分子,后写分母,带分数,先写整数,再写分子,后写分母)

 

查看答案和解析>>

科目: 来源: 题型:039

直接写得数.(分数,先写分子,后写分母,带分数,先写整数,再写分子,后写分母)

 

查看答案和解析>>

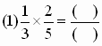
科目: 来源: 题型:039

计算(分数,先填分子,再填分母)(带分数,先填整数部分,再填分子,后写分母)

(1)

(2)

查看答案和解析>>

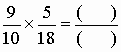
科目: 来源: 题型:039

计算(分数,先填分子,再填分母)(带分数,先填整数部分,再填分子,后写分母)

(1)

(2)

查看答案和解析>>

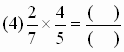
科目: 来源: 题型:039

计算(分数,先填分子,再填分母)

(1)

(2)

查看答案和解析>>

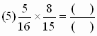
科目: 来源: 题型:039

直接写出得数(分数,先填分子,再填分母)(带分数,先填整数部分,再填分子,最后填分母)

(1)

(2)

(3)

(4)

查看答案和解析>>

科目: 来源: 题型:039

计算.(分数,先写分子,再写分母)(带分数,先写整数,再填分子,后写分母)

(1)

(2)

查看答案和解析>>

同步练习册答案