精英家教网 > 高中数学 > 题目详情
已知函数
(Ⅰ)设{an}是正数组成的数列,前n项和为Sn,其中a1=3.若点(an,an+12-2an+1)(n∈N*)在函数y=f′(x)的图象上,求证:点(n,Sn)也在y=f′(x)的图象上;
(Ⅱ)求函数f(x)在区间(a-1,a)内的极值.
【答案】分析:(Ⅰ)由题意知f′(x)=x2+2x,由点(an,an+12-2an+1)(n∈N+)在函数y=f′(x)的图象上,知(an-1-an)(an+1-an-2)=0,所以=f'(n),故点(n,Sn)也在函数y=f′(x)的图象上.
(Ⅱ)由f'(x)=0,得x=0或x=-2.然后列表求解函数f(x)在区间(a-1,A、)内的极值.
解答:解:(Ⅰ)证明:因为,所以f′(x)=x2+2x,
由点(an,an+12-2an+1)(n∈N+)在函数y=f′(x)的图象上,
又an>0(n∈N+),所以(an-1-an)(an+1-an-2)=0,
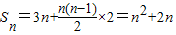
所以,又因为f′(n)=n2+2n,所以Sn=f'(n),
故点(n,Sn)也在函数y=f′(x)的图象上.

(Ⅱ)解:f'(x)=x2+2x=x(x+2),由f'(x)=0,得x=0或x=-2.
当x变化时,f'(x)﹑f(x)的变化情况如下表:

注意到|(a-1)-a|=1<2,从而
①当,此时f(x)无极小值;
②当a-1<0<a,即0<a<1时,f(x)的极小值为f(0)=-2,此时f(x)无极大值;
③当a≤-2或-1≤a≤0或a≥1时,f(x)既无极大值又无极小值.
点评:本题主要考查函数极值、等差数列等基本知识,考查分类与整合、转化与化归等数学思想方法,考查分析问题和解决问题的能力.对于a的讨论标准找不到或对其讨论不全造成结果错误.分类讨论思想在数学中是非常重要的思想之一,所以希望能加强这方面的训练.
练习册系列答案
相关习题

科目:高中数学 来源:2010年四川省眉山市高考数学二模试卷(文科)(解析版) 题型:解答题

已知函数
(1)设x=x是函数y=f(x)的图象的一条对称轴,求g(2x)的值;
(2)求函数h(x)=f(x)+g(x),的值域.

查看答案和解析>>

科目:高中数学 来源:2015届重庆第49中学七校联盟高一上学期期中考试数学试卷(解析版) 题型:解答题

(本小题满分13分)

已知函数.

(Ⅰ)设,函数的定义域为,求函数的最值;

(Ⅱ)求使的取值范围.

 

查看答案和解析>>

科目:高中数学 来源:2011-2012学年甘肃省高三12月月考理科数学试卷 题型:解答题

已知函数定义域为),设

(1)试确定的取值范围,使得函数上为单调函数;

(2)求证:

(3)求证:对于任意的,总存在,满足,并确定这样的的个数.

 

查看答案和解析>>

科目:高中数学 来源:2010-2011学年江苏省南通市高三第二次模拟考试数学试题 题型:填空题

已知函数

(1)设,且,求的值;

(2)在△ABC中,AB=1,,且△ABC的面积为,求sinA+sinB的值.

 

查看答案和解析>>

科目:高中数学 来源:2010年福建省高二下学期期末考试理科数学卷 题型:解答题

(本小题满分12分) 已知函数

(1) 设F(x)= 上单调递增,求的取值范围。

(2)若函数的图象有两个不同的交点M、N,求的取值范围;

(3)在(2)的条件下,过线段MN的中点作轴的垂线分别与的图像和的图像交S、T点,以S为切点作的切线,以T为切点作的切线.是否存在实数使得,如果存在,求出的值;如果不存在,请说明理由.

 

查看答案和解析>>

同步练习册答案