如图.把椭圆的上半部分8等份. F是椭圆的一个焦点.则等分点P1.P2.-.P7分别与F的距离之和|P1F|+|P2F|+-+|P7F|= . 查看更多

 

题目列表(包括答案和解析)

如图,把椭圆的上半部分8等份, F是椭圆的一个焦点,则等分点P1、P2、…、P7分别与F的距离之和|P1F|+|P2F|+…+|P7F|=      .

查看答案和解析>>

如图,把椭圆
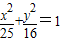
x2
25
+
y2
16
=1的长轴AB分成8等份,过每个分点作x轴的垂线交椭圆的上半部分于P1、P2、P3、P4、P5、P6、P7七个点,F是椭圆的一个焦点,则|P1F|+|P2F|+|P3F|+|P4F|+|P5F|+|P6F|+|P7F|=
35
35

查看答案和解析>>

如图,把椭圆=1的长轴AB分成8等份,过每个分点作x轴的垂线交椭圆的上半部分于P1,P2,P3,P4,P5,P6,P6,P7七个点,F是椭圆的一个焦点,

则|P1F|+|P2F|+|P3F|+|P4F|+|P5F|+|P6F|+|P7F|=__________________________.

查看答案和解析>>

如图,把椭圆的长轴AB分成8等份,过每个分点作x轴的垂线交椭圆的上半部分于P1P2P3P4P5P6P7七个点,F是椭圆的一个焦点,则|P1F|+|P2F|+|P3F|+|P4F|+|P5F|+|P6F|+|P7F|=________.

查看答案和解析>>

如图,把椭圆的长轴AB分成8等份,过每个分点作x轴的垂线交椭圆的上半部分于P1,P2,P3,P4,P5,P6,P7七个点,F是椭圆的一个焦点,则|P1F|+|P2F|+|P3F|+|P4F|+|P5F|+|P6F|+|P7F|=   

查看答案和解析>>


同步练习册答案