15.等差数列.的前项和分别为..且.则 查看更多

 

题目列表(包括答案和解析)

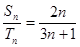
等差数列的前项和分别为,且,则_____

查看答案和解析>>

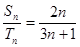
等差数列的前项和分别为,且,则=(    )

A.            B.             C.               D.

 

查看答案和解析>>

等差数列的前项和分别为,且,则=(    )

A.            B.             C.               D.

 

查看答案和解析>>

等差数列的前项和分别为,且,则=(   )

A. B. C. D. 

查看答案和解析>>

等差数列的前项和分别为,且,则=(   )

A. B. C. D.

查看答案和解析>>


同步练习册答案