某隧道长2150m.通过隧道的车速不能超过m/s.一列有55辆车身长都为10m的同一车型的车队(这种型号的车能行驶的最高速为40m/s).匀速通过该隧道.设车队的速度为xm/S.根据安全和车流的需要.当时.相邻两车之间保持20m的距离,当时.相邻两车之间保持m的距离.自第1辆车车头进入隧道至第55辆车尾离开隧道所用的时间为. (1)将表示为的函数. (2)求车队通过隧道时间的最小值及此时车队的速度. 查看更多

 

题目列表(包括答案和解析)

(本小题满分13分)某隧道长2150m,通过隧道的车速不能超过m/s.一列有55辆车身长都为10m的同一车型的车队(这种型号的车能行驶的最高速为40m/s),匀速通过该隧道,设车队的速度为 m/s ,根据安全和车流的需要,当时,相邻两车之间保持20 m的距离;当时,相邻两车之间保持m的距离.自第1辆车车头进入隧道至第55辆车尾离开隧道所用的时间为.  (I)将表示为函数;(II)求车队通过隧道时间的最小值及此时车队的速度.

查看答案和解析>>

(本小题满分13分)某隧道长2150m,通过隧道的车速不能超过m/s.一列有55辆车身长都为10m的同一车型的车队(这种型号的车能行驶的最高速为40m/s),匀速通过该隧道,设车队的速度为 m/s ,根据安全和车流的需要,当时,相邻两车之间保持20 m的距离;当时,相邻两车之间保持m的距离.自第1辆车车头进入隧道至第55辆车尾离开隧道所用的时间为. (I)将表示为函数;(II)求车队通过隧道时间的最小值及此时车队的速度.

查看答案和解析>>

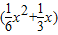
某隧道长2150m,通过隧道的车速不能超过20m/s.一列有55辆车身长都为10m的同一车型的车队(这种型号的车能行驶的最高速为40m/s)匀速通过该隧道,设车队的速度为xm/s,根据安全和车流的需要,当0<x≤10时,相邻两车之间保持20m的距离;当10<x≤20时,相邻两车之间保持(
1
6
x2+
1
3
x)
m的距离.自第1辆车车头进入隧道至第55辆车尾离开隧道所用的时间为y(s).
(1)将y表示为x的函数;
(2)求车队通过隧道时间y的最小值及此时车队的速度.(
3
≈1.73)

查看答案和解析>>

某隧道长2150m,通过隧道的车速不能超过m/s。一列有55辆车身长都为10m的同一车型的车队(这种型号的车能行驶的最高速为40m/s),匀速通过该隧道,设车队的速度为xm/S,根据安全和车流的需要,当时,相邻两车之间保持20m的距离;当时,相邻两车之间保持m的距离。自第1辆车车头进入隧道至第55辆车尾离开隧道所用的时间为。w.w.w.k.s.5.u.c.o.m      

   (1)将表示为的函数。

   (2)求车队通过隧道时间的最小值及此时车队的速度。

查看答案和解析>>

某隧道长2150m,通过隧道的车速不能超过20m/s.一列有55辆车身长都为10m的同一车型的车队(这种型号的车能行驶的最高速为40m/s)匀速通过该隧道,设车队的速度为xm/s,根据安全和车流的需要,当0<x≤10时,相邻两车之间保持20m的距离;当10<x≤20时,相邻两车之间保持m的距离.自第1辆车车头进入隧道至第55辆车尾离开隧道所用的时间为y(s).
(1)将y表示为x的函数;
(2)求车队通过隧道时间y的最小值及此时车队的速度.

查看答案和解析>>


同步练习册答案