16. (Ⅰ)证明:连结.令.则为的中点---1分 而为的中点 ∴∥ ------------------3分 又. ∴∥平面------------------------6分 可知:∥ ∴为异面直线与所成的角 ---------8分 又正三棱柱的所有棱长都为2.为的中点 ∴...----9分 在中. -------11分 ∴异面直线与所成的角为. ---------------13分 查看更多

 

题目列表(包括答案和解析)

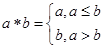
定义运算,如,令,则为(    )

A.奇函数,值域            B.偶函数,值域

C.非奇非偶函数,值域                   D.偶函数,值域

 

查看答案和解析>>

(本小题满分12分)如图,在四棱锥P-ABCD中,

底面ABCD为直角梯形,且AB//CDABADAD=CD=2AB=2.

侧面为正三角形,且平面PAD⊥平面ABCD.网

(1)若MPC上一动点,则M在何位置时,PC⊥平面MDB?并加已证明;(2)若G的重心,求二面角G-BD-C大小.学科网

查看答案和解析>>

定义运算,如,令,则为(   )

A.奇函数,值域B.偶函数,值域
C.非奇非偶函数,值域D.偶函数,值域

查看答案和解析>>

数列{}的通项公式为=4n-1,令,则数列{}的前n项和为(  )

A. n2        B. n(n+2)        C. n(n+1)     D. n(2n+1)

查看答案和解析>>

数列的通项公式为,   

则数列的前项和为__________.

查看答案和解析>>


同步练习册答案