16.已知P(4.2)为椭圆内一定点.过点P作 一弦.使得P为这条弦的中点.则这条弦所在的直线方程 为 . 查看更多

 

题目列表(包括答案和解析)

已知P(4,2)为椭圆内一定点,过点P作一弦,使得P为这条弦的中点,则这条弦所在的直线方程为________.

查看答案和解析>>

已知P(4,2)为椭圆内一定点,过点P作一弦,使得P为这条弦的中点,则这条弦所在的直线方程为   

查看答案和解析>>

 已知P(4,2)为椭圆内一定点,过点P

一弦,使得P为这条弦的中点,则这条弦所在的直线方程

             

 

查看答案和解析>>

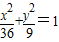
已知P(4,2)为椭圆数学公式内一定点,过点P作一弦,使得P为这条弦的中点,则这条弦所在的直线方程为________.

查看答案和解析>>

(2013•内江二模)已知动圆P过定点F(0,-
2
)
,且与直线l相切,椭圆N的对称轴为坐标轴,一个焦点是F,点A(1,
2
)
在椭圆N上.
(1)求动圆圆心P的轨迹M的方程和椭圆N的方程;
(2)已知与轨迹M在x=-4处的切线平行的直线与椭圆N交于B、C两点,试探求使△ABC面积等于
3
2
的直线l是否存在?若存在,请求出直线l的方程;若不存在,请说明理由.

查看答案和解析>>


同步练习册答案