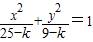
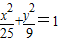
4.曲线与的 ( ) A.长轴长相等 B.短轴长相等 C.焦距相等 D.离心率相等 查看更多

 

题目列表(包括答案和解析)

曲线与曲线的                   (     )

A.长轴长相等    B.短轴长相等    C.焦距相等     D.离心率相等

 

查看答案和解析>>

曲线与曲线的(    )

A.长轴长相等B.短轴长相等C.离心率相等D.焦距相等

查看答案和解析>>

曲线与曲线(k<9)的( )
A.焦距相等
B.长、短轴相等
C.离心率相等
D.准线相同

查看答案和解析>>

曲线与曲线(k<9)的( )
A.焦距相等
B.长、短轴相等
C.离心率相等
D.准线相同

查看答案和解析>>

曲线与曲线(k<9)的( )
A.焦距相等
B.长、短轴相等
C.离心率相等
D.准线相同

查看答案和解析>>


同步练习册答案