2.设.则的大小顺序为 A. B. C. D. 查看更多

 

题目列表(包括答案和解析)

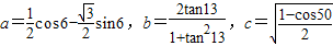
,则a,b,c的大小顺序为( )
A.a<b<c
B.b<a<c
C.b<c<a
D.a<c<b

查看答案和解析>>

,则a,b,c按从小到大的顺序排列为   

查看答案和解析>>

,则a、b、c的大小顺序为

[     ]

A.a<b<c
B.a<c<b
C.c<a<b
D.b<a<c

查看答案和解析>>

,则a,b,c由小到大的顺序为   

查看答案和解析>>

,则a,b,c从小到大的顺序为   

查看答案和解析>>


同步练习册答案