10.直线与圆 的位置关系是 ( ) A. 相离 B.相切 C. 相交但不过圆心 D. 相交且过圆心 查看更多

 

题目列表(包括答案和解析)

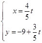
直线为参数)与圆(为参数)的位置关系是

A.相离            B.相切           C.过圆心           D.相交不过圆心

 

查看答案和解析>>

直线为参数)与圆(为参数)的位置关系是
A.相离            B.相切           C.过圆心           D.相交不过圆心

查看答案和解析>>

直线为参数)与圆(为参数)的位置关系是
A.相离            B.相切           C.过圆心           D.相交不过圆心

查看答案和解析>>

直线为参数)与圆(为参数)的位置关系是(    )
A.相离B.相切C.过圆心D.相交不过圆心

查看答案和解析>>

直线为参数)与圆(为参数)的位置关系是(    )

A.相离B.相切C.过圆心D.相交不过圆心

查看答案和解析>>


同步练习册答案