点P是△ABC内一点.且.则△ABP的面积与△ABC的面积之比是( # ) A.1:5 B.2:5 C.1:2 D.2:1 查看更多

 

题目列表(包括答案和解析)

点P是△ABC内一点,且,则△ABP的面积与△ABC的面积之比是( )
A.1:5
B.2:5
C.1:2
D.2:1

查看答案和解析>>

点P是△ABC内一点,且,则△ABP的面积与△ABC的面积之比是( )
A.1:5
B.2:5
C.1:2
D.2:1

查看答案和解析>>

点P是△ABC内一点,且数学公式,则△ABP的面积与△ABC的面积之比是


  1. A.
    1:5
  2. B.
    2:5
  3. C.
    1:2
  4. D.
    2:1

查看答案和解析>>

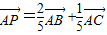
点P是△ABC内一点,且
AP
=
2
5
AB
+
1
5
AC
,则△ABP的面积与△ABC的面积之比是(  )
A、1:5B、2:5
C、1:2D、2:1

查看答案和解析>>

点P是△ABC内一点,且
AP
=
2
5
AB
+
1
5
AC
,则△ABP的面积与△ABC的面积之比是(  )
A.1:5B.2:5C.1:2D.2:1

查看答案和解析>>


同步练习册答案