15.三个点电荷q1.q2.q3固定在一条直线上.q2与q3的距离是q1与q2距离的2倍.每个电荷所受静电力的合力均为零.如图18.由此可以判定.三个电荷的电量之q1∶q2∶q3为 A.-9∶4∶-36 B.9∶4∶36 C.-3∶2∶6 D.3∶2∶6 查看更多

 

题目列表(包括答案和解析)

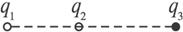
三个点电荷q1、q2、q3固定在一条直线上,q2与q3的距离q1与q2距离的2倍,每个电荷所受静电力的合力均为零。如图,由此可以判定,三个电荷的电量之q1∶q2∶q3

   

A.-9∶4∶-36      B.9∶4∶36

C.-3∶2∶6         D.3∶2∶6

查看答案和解析>>

下图所示的三个点电荷q1、q2、q3固定在一条直线上,q2与q3的距离为q1与q2距离的2倍,每个电荷所受静电力的合力均为零.由此可以判定,三个电荷量之比q1∶q2∶q3为(    )

A.(-9)∶4∶(-36)                    B.9∶4∶36

C.(-3)∶2∶(-6)                      D.3∶2∶6

查看答案和解析>>

如图10所示的三个点电荷q1q2q3,固定在一条直线上,q2q3的距离为q1q2距离的2倍,每个电荷所受静电力的合力均为零,由此可以判定,三个电荷的电荷量之比q1q2q3为            (  ).

A.(-9)∶4∶(-36)              B.9∶4∶36

C.(-3)∶2∶(-6)               D.3∶2∶6

查看答案和解析>>

如图6-1-25所示的三个点电荷q1、q2、q3,固定在一条直线上,q2和q3的距离为q1和q2距离的2倍,每个电荷所受静电力的合力均为零.由此可以判定,三个电荷量q1∶q2∶q3之比为(    )

图6-1-25

A.(-9)∶4∶(-36)                           B.9∶4∶36

C.(-3)∶2∶(-6)                            D.3∶2∶6

查看答案和解析>>

三个点电荷q1、q2、q3,依次固定在一条直线上,q2与q3的距离为q1与q2距离的2倍,每个电荷所受静电力的合力均为零,由此可以判定,三个电荷的电荷量之比q1∶q2∶q3=________.若q1是负电荷,则q2是________电荷,q3是________电荷.

查看答案和解析>>


同步练习册答案