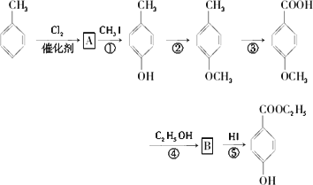
29.工业上用甲苯生产对羟基苯甲酸乙酯(一种常用的化妆品防霉剂).其生产过程如下图: 根据以上转化图填空: ⑴写出反应⑤的化学方程式(有机物写结构简式.要注明反应条件): ⑵某学生将以上合成路线简化为: 你认为是否合理? 请说明理由: (若填“是 .此处不用做答) ⑶请写出由生成C7H5O3Na的化学反应方程式 ⑷写出同时符合下列要求的所有同分异构体的结构简式 a.含苯环 b.可与FeCl3溶液发生显色反应 c.一氯代物有两种 d.能发生银镜反应.不能发生水解反应 查看更多

 

题目列表(包括答案和解析)

工业上用甲苯生产对羟基苯甲酸乙酯(一种常见的化妆品防霉剂),其生产过程如下图(反应条件没有全部注明):

根据上述合成路线回答:

(1)有机物A的结构简式_________________。

(2)反应④的化学方程式(有机物写结构简式,要注明反应条件): 

______________________________________。

(3)反应③的反应类型(填编号)_________________,反应⑤的反应类型(填编号)_________________。

A.取代反应 B.加成反应 C.消去反应 D.酯化反应 E.氧化反应

(4)反应③的化学方程式_______________________________。

(5)在合成线路中,设计第③和第⑥这两步反应的目的是_______________________。

查看答案和解析>>

工业上用甲苯生产对-羟基苯甲酸乙酯

(一种常见的化妆品防霉剂),其生产过程如下图(反应条件没有全部注明):

根据上述合成路线回答:

⑴ 有机物A的结构简式____________________。

⑵ 反应⑤的化学方程式(有机物写结构简式,要注明反应条件):

_______________________________________________________________。

⑶ 反应②的反应类型(填编号)_____,反应④的反应类型(填编号)_____。

A.取代反应 B.加成反应 C.消去反应  D.酯化反应 E.氧化反应

⑷ 反应③的化学方程式______________________________________。

⑸ 在合成线路中,设计第③和第⑥这两步反应的目的是

查看答案和解析>>

工业上用甲苯生产对羟基苯甲酸乙酯(一种常见的化妆品防霉剂),其生产过程如下图(反应条件没有全部注明):

根据上述合成路线回答:

(1)有机物A的结构简式________.

(2)反应④的化学方程式(有机物写结构简式,要注明反应条件):________.

(3)反应③的反应类型(填编号)________,反应⑤的反应类型(填编号)________.

A.取代反应

B.加成反应

C.消去反应

D.酯化反应

E.氧化反应

(4)反应③的化学方程式________.

(5)在合成线路中,设计第③和第⑥这两步反应的目的是________.

查看答案和解析>>

工业上用甲苯生产对-羟基苯甲酸乙酯 (一种常见的化妆品防霉剂),其生产过程如图(反应条件没有全部注明):

根据上述合成路线回答:
(1)反应①的试剂和条件是
B
B
(填编号)  
 a.氯气、光照     b.液溴、催化剂
有机物B的结构简式是

(2)反应⑤的化学方程式为:

(3)反应④的反应类型是
e
e
(填编号),反应⑥的反应类型是
a
a
(填编号).
a.取代反应   b.加成反应   c.消去反应    d.酯化反应    e.氧化反应
(4)上述四种化合物B、C、E、G中:
E
E
能与NaHCO3反应(不考虑酯的水解);
C、G
C、G
能与过量浓溴水反应.在一定条件下,等物质的量的B、C、E、G与足量的NaOH水溶液反应,消耗NaOH的物质的量之比为
2:1:1:2
2:1:1:2

(5)由C物质制备时,不可选用的试剂是(选填编号)
a、c
a、c

a.CH3COONa溶液    b.NaOH溶液      c.NaHCO3溶液      d.Na.

查看答案和解析>>

工业上用甲苯生产对羟基苯甲酸乙酯(一种常用的化妆品防霉剂),其生产过程如图(反应条件没有全部注明).

精英家教网

根据转化图填空:
(1)写出反应⑤的化学方程式(有机物写结构简式,要注明反应条件):______
(2)某学生将以上合成路线简化为:

精英家教网

你认为是否合理?______(填“是”或“否”)请说明理由:______(若填“是”,此处不用作答)
(3)请写出由
精英家教网
生成C7H5O3Na的化学反应方程式______.
(4)写出同时符合下列要求的
精英家教网
所有同分异构体的结构简式______.
a.含苯环;   
b.可与FeCl3溶液发生显色反应;
c.一氯代物有两种;
d.能发生银镜反应,不能发生水解反应.

查看答案和解析>>


同步练习册答案