天体的质量与密度的计算 [例2]登月飞行器关闭发动机后在离月球表面112 km的空中沿圆形轨道绕月球飞行.周期是120.5 min.已知月球半径是1 740 km.根据这些数据计算月球的平均密度.(G=6.67× 10-11 N•m2/kg2) [解析]根据牛顿第二定律有G 从上式中消去飞行器质量m后可解得 M== kg=7.2×1022 kg 根据密度公式有 ρ=== kg/m3=3.26×103 kg/m3 [思维提升]要计算月球的平均密度.首先应求出月球的质量M.飞行器绕月球做匀速圆周运动的向心力是由月球对它的万有引力提供的. [拓展2](2009•全国Ⅰ)天文学家新发现了太阳系外的一颗行星.这颗行星的体积是地球的4.7倍.质量是地球的25倍.已知某一近地卫星绕地球运动的周期约为1.4小时.引力常量G=6.67×10-11 N•m2/kg2.由此估算该行星的平均密度约为( D ) A.1.8×103 kg/m3 B.5.6×103 kg/m3 C.1.1×104 kg/m3 D.2.9×104 kg/m3 [解析]由ρ=知该行星的密度是地球密度的5.32倍.对近地卫星有.再结合ρ=.V=πR3可解得地球的密度ρ==5.6×103 kg/m3.故行星的密度ρ′=5.32×ρ=2.96×104 kg/m3.D正确. 易错门诊 查看更多

 

题目列表(包括答案和解析)

“嫦娥三号”探月卫星于2013年12月2日1点30分在西昌卫星发射中心发射,将实现“落月”的新阶段。若已知引力常量G,月球绕地球做圆周运动的半径r1、周期T1“嫦娥三号”探月卫星绕月球做圆周运动的环月轨道(见图)半径r2、周期T2,不计其他天体的影响,则根据题目条件可以(     )

A.求出“嫦娥三号”探月卫星的质量

B.求出地球与月球之间的万有引力

C.求出地球的密度

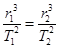
D.得出 

 

查看答案和解析>>

嫦娥三号探月卫星于2013122130分在西昌卫星发射中心发射,并成功实现了落月。若已知引力常量为G,月球绕地球做圆周运动的半径为r1、周期为T1嫦娥三号探月卫星绕月球做圆周运动的环月轨道半径为r2、周期为T2,不计其他天体的影响,则根据题目条件可以(??? )

A.求出地球的密度??????????????????? B.求出嫦娥三号探月卫星的质量

C.求出地球与月球之间的万有引力????? D.得出

 

查看答案和解析>>

“嫦娥三号”探月卫星于2013122130分在西昌卫星发射中心发射,将实现“落月”的新阶段。若已知引力常量G,月球绕地球做圆周运动的半径r1、周期T1,“嫦娥三号”探月卫星绕月球做圆周运动的环月轨道(见图)半径r2、周期T2,不计其他天体的影响,则根据题目条件可以(???? )

A.求出“嫦娥三号”探月卫星的质量

B.求出地球与月球之间的万有引力

C.求出地球的密度

D.得出

 

查看答案和解析>>

地球绕太阳的运动轨道可近似为圆形,若它的运行周期T的平方与其轨道半径r的立方之比为k,不计其他天体对地球的作用力,则下列关于k的说法正确的是(    )

A.k的数值只与太阳的质量有关

B.k的数值只与地球的质量有关

C.k的数值与地球和太阳的质量都有关

D.只要知道k的数值就能求出太阳的平均密度

 

查看答案和解析>>


同步练习册答案