10.如图所示.竖直平面坐标系xOy的第一象限.有垂直xOy面向外的水平匀强磁场和竖直向上的匀强电场.大小分别为B和E,第四象限有垂直xOy面向里的水平匀强电场.大小也为E,第三象限内有一绝缘光滑竖直放置的半径为R的半圆轨道.轨道最高点与坐标原点O相切.最低点与绝缘光滑水平面相切于N.一质量为m的带电小球从y轴上(y>0)的P点沿x轴正方向进入第一象限后做圆周运动.恰好通过坐标原点O.且水平切入半圆轨道并沿轨道内侧运动.过N点水平进入第四象限.并在电场中运动(已知重力加速度为g). (1)判断小球的带电性质并求出其所带电荷量, (2)P点距坐标原点O至少多高, 中OP最小值的位置和对应速度进入第一象限.通过N点开始计时.经时间t=2小球距坐标原点O的距离s为多远? [解析] (1)小球进入第一象限正交的电场和磁场后.在垂直磁场的平面内做圆周运动.说明重力与电场力平衡. qE=mg① 得:q=② 小球带正电. (2)小球在洛伦兹力作用下做匀速圆周运动.设匀速圆周运动的速度为v.轨道半径为r. 有:qvB=m③ 小球恰能通过半圆轨道的最高点并沿轨道运动.有: mg=m④ 由③④得:r=⑤ PO的最小距离为:y=2r=.⑥ (3)小球由O运动到N的过程中机械能守恒: mg·2R+mv2=mv⑦ 由④⑦得:vN==⑧ 根据运动的独立性可知.小球从N点进入电场区域后.在x轴方向以速度vN做匀速直线运动.沿电场方向做初速度为零的匀加速直线运动.则 沿x轴方向有:x=vNt⑨ 沿电场方向有:z=at2⑩ a==g⑪ t时刻小球距O点:s==2R. [答案] 2R w.w-w*k&s%5¥u 查看更多

 

题目列表(包括答案和解析)

(14分)如图所示,竖直平面坐标系xOy的第一象限,有垂直xOy面向外的水平匀强磁场和竖直向上的匀强电场,大小分别为B和E;第四象限有垂直xOy面向里的水平匀强电场,大小也为E;第三象限内有一绝缘光滑竖直放置的半径为R的半圆轨道,轨道最高点与坐标原点O相切,最低点与绝缘光滑水平面相切于N。一质量为m的带电小球从y轴上(y>0)的P点沿x轴正方向进入第一象限后做圆周运动,恰好通过坐标原点O,且水平切入半圆轨道并沿轨道内侧运动,过N点水平进入第四象限,并在电场中运动(已知重力加速度为g)。

(1)判断小球的带电性质并求出其所带电荷量;

(2)P点距坐标原点O至少多高;

(3)若该小球以满足(2)中OP最小值的位置和对应速度进入第一象限,通过N点开始计时,经时间小球距N点的距离s为多远。

 

查看答案和解析>>

(14分)如图所示,竖直平面坐标系xOy的第一象限,有垂直xOy面向外的水平匀强磁场和竖直向上的匀强电场,大小分别为B和E;第四象限有垂直xOy面向里的水平匀强电场,大小也为E;第三象限内有一绝缘光滑竖直放置的半径为R的半圆轨道,轨道最高点与坐标原点O相切,最低点与绝缘光滑水平面相切于N。一质量为m的带电小球从y轴上(y>0)的P点沿x轴正方向进入第一象限后做圆周运动,恰好通过坐标原点O,且水平切入半圆轨道并沿轨道内侧运动,过N点水平进入第四象限,并在电场中运动(已知重力加速度为g)。

(1)判断小球的带电性质并求出其所带电荷量;

(2)P点距坐标原点O至少多高;

(3)若该小球以满足(2)中OP最小值的位置和对应速度进入第一象限,通过N点开始计时,经时间小球距N点的距离s为多远。

 

查看答案和解析>>

(14分)如图所示,竖直平面坐标系xOy的第一象限,有垂直xOy面向外的水平匀强磁场和竖直向上的匀强电场,大小分别为B和E;第四象限有垂直xOy面向里的水平匀强电场,大小也为E;第三象限内有一绝缘光滑竖直放置的半径为R的半圆轨道,轨道最高点与坐标原点O相切,最低点与绝缘光滑水平面相切于N。一质量为m的带电小球从y轴上(y>0)的P点沿x轴正方向进入第一象限后做圆周运动,恰好通过坐标原点O,且水平切入半圆轨道并沿轨道内侧运动,过N点水平进入第四象限,并在电场中运动(已知重力加速度为g)。

(1)判断小球的带电性质并求出其所带电荷量;
(2)P点距坐标原点O至少多高;
(3)若该小球以满足(2)中OP最小值的位置和对应速度进入第一象限,通过N点开始计时,经时间小球距N点的距离s为多远。

查看答案和解析>>

(14分)如图所示,竖直平面坐标系xOy的第一象限,有垂直xOy面向外的水平匀强磁场和竖直向上的匀强电场,大小分别为B和E;第四象限有垂直xOy面向里的水平匀强电场,大小也为E;第三象限内有一绝缘光滑竖直放置的半径为R的半圆轨道,轨道最高点与坐标原点O相切,最低点与绝缘光滑水平面相切于N。一质量为m的带电小球从y轴上(y>0)的P点沿x轴正方向进入第一象限后做圆周运动,恰好通过坐标原点O,且水平切入半圆轨道并沿轨道内侧运动,过N点水平进入第四象限,并在电场中运动(已知重力加速度为g)。

(1)判断小球的带电性质并求出其所带电荷量;
(2)P点距坐标原点O至少多高;
(3)若该小球以满足(2)中OP最小值的位置和对应速度进入第一象限,通过N点开始计时,经时间小球距N点的距离s为多远。

查看答案和解析>>

如图所示,竖直平面坐标系xOy的第一象限,有垂直:xOy面向外的水平勻强磁场和竖直向上的匀强电场,大小分别为B和E第四象限有垂直xOy為面向里的水平匀强电场,大小E'=2E 第三象限内有一绝缘光滑竖直放置的半径为R的半圆轨道,轨道最髙点与坐标原点O相切,最低点与绝缘光滑水平面相切于N.一质量为m的带电小球从y轴上(y>0)的P点沿工轴正方向进入第一象限后做圆周运动,恰好通过坐标原点O,且水平切入半圆轨道并沿轨道内侧运动,过N点水平进入第四象限,并在电场
中运动?(已知重力加速度为g)
(1)判断小球的带电性质并求出其所带电荷量.
(2)P点距坐标原点O至少多高?
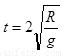
(3)若该小球以满足(2)中OP最小值的位置和对应速度进入第一象限,通过N点开始计时,经时间t=2
R
g
,小球距N点的距离s为多远?
精英家教网

查看答案和解析>>


同步练习册答案