10.物体先做初速度为零的匀加速运动.加速度为.时间运动了距离后速度达到.然后立即改作加速度大小为的匀减速运动.经时间运动了距离而停下.则下列正确的是 A. B. Blog/?UserId=997609 C. D.无法确定 第II卷 查看更多

 

题目列表(包括答案和解析)

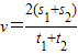
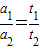
物体先做初速度为零的匀加速运动,加速度为a1,当速度达到v时,改为大小a2,作匀减速运动直至速度为零,在加速和减速过程中,物体的位移和所用时间分虽为s1,t1和s2,t2,下列关系式正确的是(  )

查看答案和解析>>

物体先做初速度为零的匀加速运动,加速度为a1,当速度达到v时,改为大小a2,作匀减速运动直至速度为零,在加速和减速过程中,物体的位移和所用时间分虽为s1,t1和s2,t2,下列关系式正确的是( )
A.
B.
C.
D.

查看答案和解析>>

物体先做初速度为零的匀加速运动,加速度为a1,当速度达到v时,改为大小a2,作匀减速运动直至速度为零,在加速和减速过程中,物体的位移和所用时间分虽为s1,t1和s2,t2,下列关系式正确的是


  1. A.
    数学公式
  2. B.
    数学公式
  3. C.
    数学公式
  4. D.
    数学公式

查看答案和解析>>

物体先做初速度为零的匀加速运动,加速度为a1,当速度达到v时,改为以a2作匀减速运动直至速度为零,在加速和减速过程中,物体的位移和所用时间分别为s1、t1和s2、t2。下列式子成立的是
[     ]
A.
B.
C.
D.

查看答案和解析>>

物体先做初速度为零的匀加速运动,加速度大小为a1,当速度达到V时,改为以大小为a2的加速度做匀减速运动,直至速度为零.在加速和减速过程中物体的位移和所用时间分别为x1,t1和x2,t2,下列各式中不成立的是(  )

查看答案和解析>>


同步练习册答案