本实验中.若以为纵轴.以h为横轴.根据实验数据绘出一h图象应是 .才能验证机械能守,一h图象的斜率等于 的数值. 查看更多

 

题目列表(包括答案和解析)

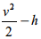
本实验中,若以为纵轴,以h为横轴,根据实验数据绘出h图象应是     ,才能验证机械能守;h图象的斜率等于            的数值.

查看答案和解析>>

本实验中,若以为纵轴,以h为横轴,根据实验数据绘出图像应是____,才能验证机械能守恒定律;图线的斜率等于____的数值。

查看答案和解析>>

本实验中,若以为纵轴,以h为横轴,根据实验数据绘出图象应是__________,才能验证机械能守恒定律;图线的斜率等于_________的数值.

查看答案和解析>>

本实验中,若以为纵轴,以h为横轴,根据实验数据绘出图象应是__________,才能验证机械能守恒定律;图线的斜率等于_________的数值.

查看答案和解析>>

本实验中,若以为纵轴,以h为横轴,根据实验数据绘出图象应是过______的_____线,才能验证机械能守恒定律;图线的斜率等于的___________数值.

查看答案和解析>>


同步练习册答案