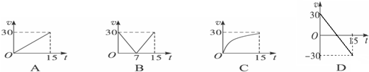
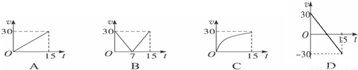
做变速直线运动的物体经过15s.其速度图象如图所示.15s内其位移最大的是图 .回到出发点的图是 .位移相等的图是 . 查看更多

 

题目列表(包括答案和解析)

做变速直线运动的物体经过15s,其速度图象如图所示,15s内其位移最大的是图
C
C
,回到出发点的图是
D
D
,位移相等的图是
AB
AB

查看答案和解析>>

做变速直线运动的物体经过15s,其速度图象如图所示,15s内其位移最大的是图______,回到出发点的图是______,位移相等的图是______

精英家教网

查看答案和解析>>

做变速直线运动的物体经过15s,其速度图象如图所示,15s内其位移最大的是图    ,回到出发点的图是    ,位移相等的图是   

查看答案和解析>>

做变速直线运动的物体经过15s,其速度图象如图所示,15s内其位移最大的是图________,回到出发点的图是________,位移相等的图是________

查看答案和解析>>

有四个沿着同一直线做变速直线运动的物体经过15s,其速度图象如图所示,那么其中位移最大的是图
C
C
所表示的物体,能够回到出发点的是图
D
D
所表示的物体.

查看答案和解析>>


同步练习册答案