物体先作初速为零的匀加速运动.加速度为a1.时间t1运动了距离s1.速度达到v,然后改作加速度大小为a2的匀减速运动.经过时间t2停下.又运动了距离s2.则 A. B. C. D. 查看更多

 

题目列表(包括答案和解析)

物体先做初速为零的匀加速运动,加速度为a1,当速度达到v时,改为以a2作匀减速运动直至速度为零,在加速和减速过程中,物体的位移和所用时间分别为s1,t1和s2,t2.下列式子成立的是(  )

查看答案和解析>>

物体先做初速为零的匀加速运动,加速度为a1,当速度达到v时,改为以a2作匀减速运动直至速度为零,在加速和减速过程中,物体的位移和所用时间分别为s1,t1和s2,t2。下列式子成立的是

 

查看答案和解析>>

物体先做初速为零的匀加速运动,加速度为a1,当速度达到v时,改为以a2作匀减速运动直至速度为零,在加速和减速过程中,物体的位移和所用时间分别为s1,t1和s2,t2。下列式子成立的是                                      (    )

 

查看答案和解析>>

物体先做初速为零的匀加速运动,加速度为a1,当速度达到v时,改为以a2作匀减速运动直至速度为零,在加速和减速过程中,物体的位移和所用时间分别为s1,t1和s2,t2.下列式子成立的是(  )
A.
s1
s2
=
t1
t2
B.
s1
t1
=
s2
t2
=
s1+s2
t1+t2
C.
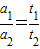
a1
a2
=
t1
t2
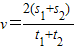
D.v=
2(s1+s2
t1+t2

查看答案和解析>>

物体先做初速为零的匀加速运动,加速度为a1,当速度达到v时,改为以a2作匀减速运动直至速度为零,在加速和减速过程中,物体的位移和所用时间分别为s1,t1和s2,t2.下列式子成立的是( )
A.
B.
C.
D.

查看答案和解析>>


同步练习册答案