在右图所示电路中.L是并联在电阻R2上的一段电阻忽略不计的导线.电路两端A.B间的电压U恒定.电键S闭合.那么应认为 A.通过电阻R1和R2的电流相等 B.通过电阻R1和导线L的电流相等 C.R1两端电压小于电路两端电压U D.如果断开电键S.R1两端电压将增大 查看更多

 

题目列表(包括答案和解析)

如图所示的电路中,有一自耦变压器,左侧并联一只理想电压表V1后接在稳定的交流电源上;右侧串联灯泡L和滑动变阻器R,R上并联一只理想电压表V2。下列说法中正确的是(  )

A.若F不动,滑片P向下滑动时,V1示数变大,V2示数变小 
B.若F不动,滑片P向下滑动时,灯泡消耗的功率变小 
C.若P不动,滑片F向下移动时,V1、V2的示数均变小 
D.若P不动,滑片F向下移动时,灯泡消耗的功率变大 

查看答案和解析>>

如图所示的电路中,有一自耦变压器,左侧并联一只理想电压表V1后接在稳定的交流电源上;右侧串联灯泡L和滑动变阻器R,R上并联一只理想电压表V2。下列说法中正确的是(  )
A.若F不动,滑片P向下滑动时,V1示数变大,V2示数变小
B.若F不动,滑片P向下滑动时,灯泡消耗的功率变小
C.若P不动,滑片F向下移动时,V1、V2的示数均变小
D.若P不动,滑片F向下移动时,灯泡消耗的功率变大

查看答案和解析>>

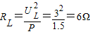
如图所示电路,电源内阻r=1Ω,R1=2Ω,R2=5Ω,灯L标有“3V,1.5W”,滑线变阻器最大值为R,当滑片P滑到最右端A时,电流表读数为1A,此时灯L恰好正常发光,试求:
(1)当滑片P滑到最左端B时,电流表读数.
(2)当滑片P位于滑线变阻器的中点时,变阻器上消耗的功率.
某同学的部分解法如下:
解:灯L的电阻         
灯L和(R+R2)并联,并联电阻为:…①
由RL?IA=(R+R2)?I2(IA、I2分别为通过电流表和R2的电流)得:…②
流过电源的电流为        I=IA+I2   …③
请问:这位同学的部分解法是否正确?如正确,则继续解答,求出最后结果;如不正确,请说明错在何处,并完成此题.

查看答案和解析>>

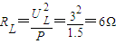
如图所示电路,电源内阻r=1Ω,R1=2Ω,R2=5Ω,灯L标有“3V,1.5W”,滑线变阻器最大值为R,当滑片P滑到最右端A时,电流表读数为1A,此时灯L恰好正常发光,试求:
(1)当滑片P滑到最左端B时,电流表读数.
(2)当滑片P位于滑线变阻器的中点时,变阻器上消耗的功率.
某同学的部分解法如下:
解:灯L的电阻         
灯L和(R+R2)并联,并联电阻为:…①
由RL?IA=(R+R2)?I2(IA、I2分别为通过电流表和R2的电流)得:…②
流过电源的电流为        I=IA+I2   …③
请问:这位同学的部分解法是否正确?如正确,则继续解答,求出最后结果;如不正确,请说明错在何处,并完成此题.

查看答案和解析>>

(16分)电磁感应现象是电磁学中最重大的发现之一,它揭示了电、磁现象之间的本质联系。
电路中感应电动势的大小,跟穿过这一电路的磁通量的变化率成正比,即,这就是法拉第电磁感应定律。
(1)如图所示,把矩形线框abcd放在磁感应强度为B的匀强磁场里,线框平面跟磁感线垂直。设线框可动部分ab的长度为L,它以速度v向右匀速运动。请根据法拉第电磁感应定律推导出闭合电路的感应电动势E=BLv。

(2)两根足够长的光滑直金属导轨平行放置在倾角为θ的绝缘斜面上,两导轨间距为L。两导轨间接有阻值为R的电阻。一根质量为m的均匀直金属杆MN放在两导轨上,并与导轨垂直。整套装置处于磁感应强度为B匀强磁场中,磁场方向垂直于斜面向上。导轨和金属杆的电阻可忽略。让金属杆MN由静止沿导轨开始下滑。求
①当导体棒的速度为v(未达到最大速度)时,通过MN棒的电流大小和方向;
②导体棒运动的最大速度。

查看答案和解析>>


同步练习册答案