如图所示为两个彼此平行且共轴的半径分别为R1和R2的圆环.两圆环上的电荷量均为q.而且电荷均匀分布.两圆环的圆心O1和O2相距为2a.连线的中点为O.轴线上的A点在O点右侧与O点相距为r.A点处电场强度大小E的表达式正确的是 查看更多

 

题目列表(包括答案和解析)

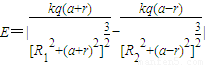
物理学中有些问题的结论不一定必须通过计算才能验证,有时只需通过一定的分析就可以判断结论是否正确.如图所示为两个彼此平行且共轴的半径分别为R1和R2的圆环,两圆环上的电荷量均为q (q>0),而且电荷均匀分布.两圆环的圆心O1和O2相距为2a,连线的中点为O,轴线上的A点在O点右侧与O点相距为r (r<a).试分析判断下列关于A点处电场强度大小E的表达式(式中k为静电力常量)正确的是( )

A.
B.
C.
D.

查看答案和解析>>

物理学中有些问题的结论不一定必须通过计算才能验证,有时只需通过一定的分析就可以判断结论是否正确。如图所示为两个彼此平行且共轴的半径分别为R1和R2的圆环,两圆环上的电荷量均为q(q>0),而且电荷均匀分布,两圆环的圆心O1和O2相距为2a,连线的中点为O,轴线上的A点在O点右侧与O点相距为r(r<a)。试分析判断下列关于A点处电场强度大小E的表达式(式中k为静电力常量)正确的是
[     ]
A.
B.
C.
D.

查看答案和解析>>

物理学中有些问题的结论不一定必须通过计算才能验证,有时只需通过一定的分析就可以判断结论是否正确。如图所示为两个彼此平行且共轴的半径分别为R1和R2的圆环,两圆环上的电荷量均为q(q>0),而且电荷均匀分布,两圆环的圆心O1和O2相距为2a,联线的中点为O,轴线上的A点在O点右侧与O点相距为r(r<a)。试分析判断下列关于A点处电场强度大小E的表达式(式中k为静电力常量)正确的是
[     ]
A.
B.
C.
D.

查看答案和解析>>

物理学中有些问题的结论不一定必须通过计算才能验证,有时只需要通过一定的分析就可以判断结论是否正确。如图所示为两个彼此平行且共轴的半径分别为R1和R2的圆环,两圆环上的电荷量均为q(q>0),而且电荷均匀分布。两圆环的圆心O1和O2相距为2a,联线的中点为O,轴线上的A点在O点右侧与O点相距为r(r<a)。是分析判断下列关于A点处电场强度大小E的表达式(式中k为静电力常量)正确的是

A.

B.

C.

D.

查看答案和解析>>

 物理学中有些问题的结论不一定必须通过计算才能验证,有时只需要通过一定的分析就可以判断结论是否正确。如图所示为两个彼此平行且共轴的半径分别为R1和R2的圆环,两圆环上的电荷量均为q(q>0),而且电荷均匀分布。两圆环的圆心O1和O2相距为2a,联线的中点为O,轴线上的A点在O点右侧与O点相距为r(r<a)。是分析判断下列关于A点处电场强度大小E的表达式(式中k为静电力常量)正确的是 

A.

B.

C.

D.

 

查看答案和解析>>


同步练习册答案