3.关于电场.下列说法中正确的是( ) A.E=F/q.若q减半.则该处电场强度为原来的2倍 B.中.E与Q成正比.而与r2成反比 C.在以一个点电荷为球心.r为半径的球面上.各处的场强相同 D.电场中某点场强的方向就是该点所放电荷受到的电场力的方向 查看更多

 

题目列表(包括答案和解析)

关于电场,下列说法中正确的是

A.E=F/q,若q减半,则该处电场强度为原来的2倍

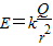
B.中,EQ成正比,而与r2成反比

C.在以一个点电荷为球心,r为半径的球面上,各处的场强相同

D.电场中某点场强的方向就是该点所放电荷受到的电场力的方向

查看答案和解析>>

关于电场,下列说法中正确的是( )
A.E=F/q,若q减半,则该处电场强度为原来的2倍
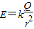
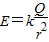
B.中,E与Q成正比,而与r2成反比
C.在以一个点电荷为球心,r为半径的球面上,各处的场强相同
D.电场中某点场强的方向就是该点所放电荷受到的电场力的方向

查看答案和解析>>

关于电场,下列说法中正确的是( )
A.E=F/q,若q减半,则该处电场强度为原来的2倍
B.中,E与Q成正比,而与r2成反比
C.在以一个点电荷为球心,r为半径的球面上,各处的场强相同
D.电场中某点场强的方向就是该点所放电荷受到的电场力的方向

查看答案和解析>>

关于电场,下列说法中正确的是( )
A.E=F/q,若q减半,则该处电场强度为原来的2倍
B.中,E与Q成正比,而与r2成反比
C.在以一个点电荷为球心,r为半径的球面上,各处的场强相同
D.电场中某点场强的方向就是该点所放电荷受到的电场力的方向

查看答案和解析>>

关于电场,下列说法中正确的是( )
A.E=F/q,若q减半,则该处电场强度为原来的2倍
B.中,E与Q成正比,而与r2成反比
C.在以一个点电荷为球心,r为半径的球面上,各处的场强相同
D.电场中某点场强的方向就是该点所放电荷受到的电场力的方向

查看答案和解析>>


同步练习册答案