11.如图所示.在两平行金属板中央有一个静止的电子.当两板间加上交变电压后.能使电子有可能做往返运动的电压是( ) 查看更多

 

题目列表(包括答案和解析)

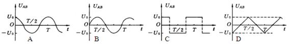
精英家教网如图所示,在两平行金属板中央有一个静止的电子(不计重力),当两板间加上如图所示的交变电压后,不能使电子做往返运动的电压是(  )
A、精英家教网B、精英家教网C、精英家教网D、精英家教网

查看答案和解析>>

如图所示,在两平行金属板中央有一个静止的电子(不计重力),当两板间加上如图所示的交变电压后,能使电子有可能做往返运动的电压是(    )

查看答案和解析>>

如图所示,在两平行金属板中央有一个静止的电子(不计重力),当两板间加上如图所示的交变电压后,能使电子有可能做往返运动的电压是(    )

查看答案和解析>>

如图所示,在两平行金属板中央有一个静止的电子(不计重力),当两板间加上如图所示的交变电压后,能使电子有可能做往返运动的电压是(  )

查看答案和解析>>

如图所示,在两平行金属板中央有一个静止的电子(不计重力),当两板间加上如图所示的交变电压后,不能使电子做往返运动的电压是(     )

 

查看答案和解析>>


同步练习册答案