7.如图甲所示.0点为振源.OP=s.t=0时刻.0点由平衡位置开 始振动.产生向右沿直线传播的简谐横波.图乙为从t=0时刻 开始描绘的P点的振动图像.下列判断中正确的是 ( ) A.该波的频率为1/(t2-t1) B.这列波的波长为St1/(t2-t1) C.t一0时刻.振源0振动的方向沿y轴正方向 D.t=t2时刻.P点的振动方向沿y轴负方向 . 查看更多

 

题目列表(包括答案和解析)

如图甲所示,O点为振源,OP=s.t=0时刻O点由平衡位置开始振动,产生向右沿直线传播的简谐横波.图乙为从t=0时刻开始描绘的P点的振动图象.下列判断中正确的是(  )

查看答案和解析>>

如图甲所示,O点为振源,OP=s.t=0时刻O点由平衡位置开始振动,产生向右沿直线传播的简谐横波.图乙为从t=0时刻开始描绘的P点的振动图象.下列判断中正确的是(  )
A.该波的频率为
1
t2-t1
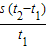
B.这列波的波长为
s (t2-t1)
t1
C.t=0时刻,振源O振动的方向沿y轴正方向
D.t=t2时刻,P点的振动方向沿y轴负方向
精英家教网

查看答案和解析>>

如图甲所示,O点为振源,OP=s.t=0时刻O点由平衡位置开始振动,产生向右沿直线传播的简谐横波.图乙为从t=0时刻开始描绘的P点的振动图象.下列判断中正确的是( )

A.该波的频率为
B.这列波的波长为
C.t=0时刻,振源O振动的方向沿y轴正方向
D.t=t2时刻,P点的振动方向沿y轴负方向

查看答案和解析>>

 如图甲所示,O点为振源,OP =st = 0时刻,O点由平衡位置开始向下运动,产生沿直线OP向右传播的简谐横波.如图乙为P点的振动图象(从t1时刻开始振动).则以下说法中正确的是 

    A.该波的频率为

B.波传至P点时,P点由平衡位置开始向下振动

C.这列波的波速为

D.t2时刻,P点的加速度最大,速度最小

 

查看答案和解析>>

 如图甲所示,O点为振源,OP = st = 0时刻,O点由平衡位置开始向下运动,产生沿直线OP向右传播的简谐横波.如图乙为P点的振动图象(从t1时刻开始振动).则以下说法中正确的是 

    A.该波的频率为

B.波传至P点时,P点由平衡位置开始向下振动

C.这列波的波速为

D.t2时刻,P点的加速度最大,速度最小

 

查看答案和解析>>


同步练习册答案