图7所示的是某横波的图象.由图可知 [ ] A.若波向右传播.则质点B 正向右运动 B.若波向右传播.则质点C正向左运动 C.若波向左传播.则质点D正向下运动 D.若波向左传播.则质点B正向上运动 查看更多

 

题目列表(包括答案和解析)

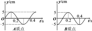
如图所示是某时刻一列横波上A、B两质点的振动图象,该波由A传向B,两质点沿波的传播方向上的距离Δx=6.0 m,波长大于10.0 m,

求:①再经过0.7 s,质点A通过的路程.

这列波的波速.

查看答案和解析>>

选做题(请从A、B和C三小题中选定两小题作答,并在答题卡上把所选题目对应字母后的方框涂满涂黑,如都作答则按A、B两小题评分.)
A.(选修模块3-3)
(1)下列说法中正确的是______
A.布朗运动是分子的无规则热运动
B.气体分子间距离减小时,分子间斥力增大,引力也增大
C.导热性能各向同性的固体,一定不是单晶体
D.机械能不可能全部转化为内能
(2)如图1所示,一导热性能良好的金属气缸静放在水平面上,活塞与气缸壁间的摩擦不计.气缸内封闭了一定质量的理想气体.现缓慢地向活塞上倒一定质量的沙土,忽略环境温度的变化,在此过程中______
A.气体的内能增大
B.气缸内分子平均动能增大
C.气缸内气体分子密度增大
D.单位时间内撞击气缸壁单位面积上的分子数增多

精英家教网

(3)在做用油膜法估测分子的大小实验中,油酸酒精溶液的浓度为每104mL溶液中有纯油酸6mL.用注射器测得50滴这样的溶液为1mL.把l滴该溶液滴入盛水的浅盘里,待水面稳定后,将玻璃板放在浅水盘上,在玻璃板上描出油膜的轮廓,随后把玻璃放在坐标纸上,其形状如图2所示,坐标纸正方形小方格的边长为20mm.则油酸膜的面积是______m2,每一滴油酸酒精溶液中含有纯油酸的体积是______m3,根据上述数据,可估算出油酸分子的直径.
B.(选修模块3-4)
(1)关于对光现象的解释,下列说法中正确的是______.
A.自然光斜射到玻璃表面时,反射光和折射光都是偏振光
B.水面上的油膜呈现彩色是光的衍射现象
C.光纤导光利用了光的全反射规律
D.玻璃中的气泡看起来特别明亮是光的干涉现象
(2)一列横波沿x轴正方向传播,在t0=0时刻的波形如图3所示,波刚好传到x=3m处,此后x=lm处的质点比x=-lm处的质点______(选填“先”、“后”或“同时”)到达波峰位置;若该波的波速为10m/s,经过△t时间,在x轴上-3m~3m区间内的波形与t0时刻的正好相同,则△t=______.
(3)某实验小组利用数字实验系统探究弹簧振子的运动规律,装置如图4所示,水平光滑导轨上的滑块与轻弹簧组成弹簧振子,滑块上固定有传感器的发射器.把弹簧拉长5cm由静止释放,滑块开始振动.他们分析位移一时间图象后发现,滑块的运动是简谐运动,滑块从最右端运动到最左端所用时间为ls,则弹簧振子的振动频率为______Hz;以释放的瞬时为初始时刻、向右为正方向,则滑块运动的表达式为x=______cm.

精英家教网

C.(选修模块3-5)
(1)下列关于原子和原子核的说法正确的是______.
A.β衰变现象说明电子是原子核的组成部分
B.波尔理论的假设之一是原子能量的量子化
C.放射性元素的半衰期随温度的升高而变短
D.比结合能越小表示原子核中的核子结合得越牢固
(2)一群氢原子处于量子数n=4能级状态,氢原子的能级      示意图如图5所示,那么
金属
逸出功W/eV 1.9 2.7 3.7 4.1
①氢原子可能发射______种频率的光子.
②氢原子由量子数n=4的能级跃迁到n=2的能级时辐射光子的频率是______Hz,用这样的光子照射右表中几种金属,金属______能发生光电效应,发生光电效应时,发射光电子的最大初动能是______eV.(普朗克常量h=6?63×10-34J?S,1eV=1.6×10-19J)
(3)在氘核
 21
H
和氚核
 31
H
结合成氦核
 42
He
的核反应方程如下:
 21
H+
 31
H→
 42
He+
 10
n+17.6MeV

①这个核反应称为______
②要发生这样的核反应,需要将反应物质的温度加热到几百万开尔文.式中17.6MeV是核反应中______(选填“放出”或“吸收”)的能量,核反应后生成物的总质量比核反应前物质的总质量______(选填“增加”或“减少”)了______㎏(保留一位有效数字)

查看答案和解析>>

A. (1) 下列说法正确的是________.

A. 当两个分子间的分子势能增大时,分子间作用力一定减小

B. 大量分子的集体行为是不规则的,带有偶然性

C. 晶体和非晶体在一定的条件下可以转化

D. 人类利用能源时,是将高品质的能量释放出来并最终转化为低品质的内能

(2) 一定质量的理想气体,体积由V1压缩至V2,第一次是经过一个等温过程,最终气体压强是p1、气体内能是E1;第二次是经过一个等压过程,最终气体压强是p2、气体内能是E2;则p1________p2,E1________E2.(填“>” “=”或“<”) 

(3) 当把一滴用酒精稀释过的油酸滴在水面上时,油酸就在水面上散开,油酸分子就立在水面上,形成单分子层油膜,现有按酒精与油酸的体积比为m∶n 配制好的油酸酒精溶液置于容器中,还有一个装有约2cm深水的浅盘,一支滴管,一个量筒.现用滴管从量筒中取V体积的溶液,让其自由滴出,全部滴完共为N滴.

① 用滴管将一滴油酸酒精溶液滴入浅盘,待油酸薄膜稳定后,将薄膜轮廓描绘在坐标纸上,如图所示.(已知坐标纸上每个小方格面积为S,求油膜面积时,半个以上方格面积记为S,不足半个舍去)则油膜面积为________.

② 求出估算油酸分子直径的表达式.

B. (1) 下列说法正确的是________.

A. 测定某恒星特定元素发出光的频率,对比地球上该元素的发光频率,可以推算该恒星远离地球的速度

B. 无线电波没有偏振现象

C. 红外线比无线电波更容易发生干涉和衍射现象

D. 在一个确定的参考系中观测,运动物体上物理过程的时间进程跟物体运动速度有关

(2) 在“研究单摆周期与摆长的关系”实验中,摆的振幅不要太大,摆线要细些、伸缩性要小,线的长度要尽量________(填“长些”或“短些”).悬点要固定,摆长是悬点到________的距离.

(3) 如图,为一圆柱中空玻璃管,管内径为R1,外径为R2,R2=2R1.一束光线在圆柱横截面内射向玻璃管,为保证在内壁处光不会进入中空部分,问入射角i应满足什么条件?

C.(1) 存在下列事实:① 一对高能的γ光子相遇时可能产生一对正负电子;② 一个孤立的γ光子不论其频率多高都不可能产生一对正负电子;③一个高能的γ光子经过重核附近时可能产生一对正负电子;④ 原子核发生变化时,只发射一些特定频率的γ光子.关于上述事实下列说法正确的是(电子质量me,光在真空中速度为c,普朗克常量为h)________.

A. 事实①表明,微观世界中的相互作用,只要符合能量守恒的事件就一定能发生

B. 事实②说明,动量守恒定律和能量守恒定律是自然界的普遍规律

C. 事实③中,由于外界重核的参与,系统动量不守恒,而γ光子的频率需满足ν ≥

D. 事实④中表明,原子核的能级也是不连续的

(2) 本身不是易裂变材料,但是一种增殖材料,它能够吸收慢中子变成,然后经过________次________衰变转变为易裂变材料铀的同位素.

(3) 如图为通过某光电管的光电流与两极间电压的关系,当用光子能量为4.5eV的蓝光照射光电管的阴极K时,对应图线与横轴的交点U1=-2.37V.(普朗克常量h=6.63×10-34 J·s,电子电量e=1.6×10-19 C)(以下计算结果保留两位有效数字)

① 求阴极K发生光电效应的极限频率.

② 当用光子能量为7.0eV的紫外线持续照射光电管的阴极K时,测得饱和电流为0.32μA,求阴极K单位时间发射的光电子数.

 

查看答案和解析>>

A. (1) 下列说法正确的是________.

A. 当两个分子间的分子势能增大时,分子间作用力一定减小

B. 大量分子的集体行为是不规则的,带有偶然性

C. 晶体和非晶体在一定的条件下可以转化

D. 人类利用能源时,是将高品质的能量释放出来并最终转化为低品质的内能

(2) 一定质量的理想气体,体积由V1压缩至V2,第一次是经过一个等温过程,最终气体压强是p1、气体内能是E1;第二次是经过一个等压过程,最终气体压强是p2、气体内能是E2;则p1________p2,E1________E2.(填“>” “=”或“<”) 

(3) 当把一滴用酒精稀释过的油酸滴在水面上时,油酸就在水面上散开,油酸分子就立在水面上,形成单分子层油膜,现有按酒精与油酸的体积比为m∶n 配制好的油酸酒精溶液置于容器中,还有一个装有约2cm深水的浅盘,一支滴管,一个量筒.现用滴管从量筒中取V体积的溶液,让其自由滴出,全部滴完共为N滴.

① 用滴管将一滴油酸酒精溶液滴入浅盘,待油酸薄膜稳定后,将薄膜轮廓描绘在坐标纸上,如图所示.(已知坐标纸上每个小方格面积为S,求油膜面积时,半个以上方格面积记为S,不足半个舍去)则油膜面积为________.

② 求出估算油酸分子直径的表达式.

B. (1) 下列说法正确的是________.

A. 测定某恒星特定元素发出光的频率,对比地球上该元素的发光频率,可以推算该恒星远离地球的速度

B. 无线电波没有偏振现象

C. 红外线比无线电波更容易发生干涉和衍射现象

D. 在一个确定的参考系中观测,运动物体上物理过程的时间进程跟物体运动速度有关

(2) 在“研究单摆周期与摆长的关系”实验中,摆的振幅不要太大,摆线要细些、伸缩性要小,线的长度要尽量________(填“长些”或“短些”).悬点要固定,摆长是悬点到________的距离.

(3) 如图,为一圆柱中空玻璃管,管内径为R1,外径为R2,R2=2R1.一束光线在圆柱横截面内射向玻璃管,为保证在内壁处光不会进入中空部分,问入射角i应满足什么条件?

C.(1) 存在下列事实:① 一对高能的γ光子相遇时可能产生一对正负电子;② 一个孤立的γ光子不论其频率多高都不可能产生一对正负电子;③ 一个高能的γ光子经过重核附近时可能产生一对正负电子;④ 原子核发生变化时,只发射一些特定频率的γ光子.关于上述事实下列说法正确的是(电子质量me,光在真空中速度为c,普朗克常量为h)________.

A. 事实①表明,微观世界中的相互作用,只要符合能量守恒的事件就一定能发生

B. 事实②说明,动量守恒定律和能量守恒定律是自然界的普遍规律

C. 事实③中,由于外界重核的参与,系统动量不守恒,而γ光子的频率需满足ν ≥

D. 事实④中表明,原子核的能级也是不连续的

(2) 本身不是易裂变材料,但是一种增殖材料,它能够吸收慢中子变成,然后经过________次________衰变转变为易裂变材料铀的同位素.

(3) 如图为通过某光电管的光电流与两极间电压的关系,当用光子能量为4.5eV的蓝光照射光电管的阴极K时,对应图线与横轴的交点U1=-2.37V.(普朗克常量h=6.63×10-34 J·s,电子电量e=1.6×10-19 C)(以下计算结果保留两位有效数字)

① 求阴极K发生光电效应的极限频率.

② 当用光子能量为7.0eV的紫外线持续照射光电管的阴极K时,测得饱和电流为0.32μA,求阴极K单位时间发射的光电子数.

 

查看答案和解析>>

 【选做题】本题包括A、B、C三小题,请选定其中两题,并在答题卡相应的答题区域内作答.若三题都做,则按A、B两题评分.

A.(选修模块3—3)(12分)

(1)在研究性学习的过程中,针对能源问题,大气污染问题同学们提出了如下四个活动方案,哪些从理论上讲是可行的

(A)发明一种制冷设备,使温度降至绝对零度以下

(B)汽车尾气中各类有害气体排入大气后严重污染了空气,想办法使它们自发地分离,既清洁了空气,又变废为宝

(C)某国际科研小组正在研制利用超导材料制成灯泡的灯丝和闭合电路.利用电磁感应激起电流后,由于电路电阻为零从而使灯泡一直发光

(D)由于太阳的照射,海洋表面的温度可达30℃左右,而海洋深处的温度要低得多,在水600~1000m的地方,水温约为4℃.据此,科学家研制了一种抗腐蚀的热交换器,利用海水温差发电

(2)秋天附着在树叶上的露水常呈球形,.这是因为________.水银放在某一固体容器中,其液面向下弯,说明水银_____这种固体(填“浸润”或“ 不浸润”).

(3)如图所示,在竖直放置绝热圆柱形容器内用质量为m的绝热活塞密封一部分气体,活塞与容器壁间能无摩擦滑动,容器的横截面积为S,开始时密闭气体的温度为T0,活塞与容器底的距离为h0.现将整个装置放在大气压恒为P0的空气中,当气体从外界吸收热量Q后,活塞缓慢上升d后再次平衡,问:

①此时密闭气体的温度是多少?

②在此过程中密闭气体的内能增加了多少?

B.(选修模块3—4)(12分)

(1)下列说法中正确的有      

(A)2010年4月14日早晨7时49分,青海省玉树藏族自治州玉树县发生7.1级地震,造成重大人员财产损失,地震波是机械波,地震波中既有横波也有纵波

(B)太阳能真空玻璃管采用镀膜技术增加透射光,这是利用了光的衍射原理

(C)相对论认为:真空中的光速在不同惯性参照系中是不相同的

(D)医院里用于检测的“彩超”的原理是:向病人体内发射超声波,经血  

液反射后被接收,测出反射波的频率变化,就可知血液的流速.这 

一技术应用了多普勒效应

(2)如图所示为一列简谐波在t1=0时刻的图象,此时波中质点M的运动方   

向沿y轴负方向,且到t2=0.55s质点M恰好第3次到达y轴正方向最大 

位移处,该波的传播方向为_____,波速为_______m/s.

(3)如图所示是一种折射率n=1.5的棱镜.现有一束光 线沿MN的方向射  

到棱镜的AB界面上,入射角的大小.求光在棱镜中传

播的速率及此束光线射出棱镜后的方向(不考虑返回到AB面上的光线).

C.(选修模块3—5)(12分)

(1)下列说法中正确的有_______.

(A)黑体辐射时电磁波的强度按波长的分布只与黑体的温度有关

(B)普朗克为了解释光电效应的规律,提出了光子说

(C)天然放射现象的发现揭示原子核有复杂的结构

(D)卢瑟福首先发现了质子和中子

(2)如图所示是使用光电管的原理图.当频率为v的可见光照射到阴极K上时,  

电流表中有电流通过.

  ①当变阻器的滑动端P        滑动时(填“左”或“右”),通过电流表的电流将会减小.

  ②当电流表电流刚减小到零时,电压表的读数为U,则光电子的最大初动能为

           (已知电子电荷量为e).

  ③如果不改变入射光的频率,而增加入射光的强度,则光电子的最大初动能将_____

(填“增加”、“减小”或“不变”).

(3)一炮弹质量为m,以一定的倾角斜向上发射,到达最高点时速度为v,炮弹在最高点爆炸成两块,

其中一块恰好做自由落体运动,质量为.则另一块爆炸后瞬时的速度大小____。

 

 

查看答案和解析>>


同步练习册答案