如图7所示.原长分别为L1和L2.劲度系数分别为k1和k2的轻质弹簧竖 直地悬挂在天花板下.两弹簧之间有一质量为m1的物体.最下端挂着质量为m2的 另一物体.整个装置处于静止状态.这时两个弹簧的总长度为 .用一 个质量为M的平板把下面的物体竖直地缓慢地向上托起.直到两个弹簧的总长度 等于两弹簧的原长之和.这时平板受到下面物体的压力大小等于 . 查看更多

 

题目列表(包括答案和解析)

2006年7月1日,世界上海拔最高,线路最长的青藏铁路全线通车,青藏铁路安装的一种电磁装置可以向控制中心传输信号,以确定火车的位置和运动状态,其原理是将能产生匀强磁场的磁铁安装在火车首节车厢下面,如图甲所示(俯视图),当它经过安放在两铁轨间的线圈时,线圈便产生一个电信号传输给控制中心,线圈边长分别为l1l2,匝数为n,线圈和传输线的电阻忽略不计.若火车通过线圈时,控制中心接收到线圈两端的电压信号u与时间t的关系如图乙所示(ab、cd均为直线),t1、t2、t3、t4是运动过程的四个时刻,则火车

A.在t1~t2时间内做匀加速直线运动

B.在t1~t2时间内做匀减速直线运动

C.在t3~t4时间内加速度大小为

D.在t3~t4时间内平均速度的大小为

查看答案和解析>>

200671日,世界上海拔最高、线路最长的青藏铁路全线通车,青藏铁路安装的一种电磁装置可以向控制中心传输信号,以确定火车的位置和运动状态,其原理是将能产生匀强磁场的磁铁安装在火车首节车厢下面,如图甲所示(俯视图),当它经过安放在两铁轨间的线圈时,线圈便产生一个电信号传输给控制中心.线圈边长分别为l1l2,匝数为n,线圈和传输线的电阻忽略不计.若火车通过线圈时,控制中心接收到线圈两端的电压信号u与时间t的关系如图乙所示,t1t2t3t4是运动过程的四个时刻,则火车

A.

t1t2时间内做匀加速直线运动

B.

t3t4时间内做匀减速直线运动

C.

t1t2时间内加速度大小为

D.

t3t4时间内平均速度的大小为

查看答案和解析>>

2006年7月1日,世界上海拔最高、线路最长的青藏铁路全线通车,青藏铁路安装的一种电磁装置可以向控制中心传输信号,以确定火车的位置和运动状态,其原理是将能产生匀强磁场的磁铁安装在火车首节车厢下面,如图甲所示(俯视图),当它经过安放在两铁轨间的线圈时,线圈便产生一个电信号传输给控制中心.线圈边长分别为l1和l2,匝数为n,线圈和传输线的电阻忽略不计.若火车通过线圈时,控制中心接收到线圈两端的电压信号u与时间t的关系如图乙所示(ab、cd均为直线),t1、t2、t3、t4是运动过程的四个时刻,则火车(  )

查看答案和解析>>

2006年7月1日,世界上海拔最高、线路最长的青藏铁路全线通车,青藏铁路安装的一种电磁装置可以向控制中心传输信号,以确定火车的位置和运动状态,其原理是将能产生匀强磁场的磁铁安装在火车首节车厢下面,如图甲所示(俯视图),当它经过安放在两铁轨间的线圈时,线圈便产生一个电信号传输给控制中心.线圈边长分别为l1l2,匝数为n,线圈和传输线的电阻忽略不计。若火车通过线圈时,控制中心接收到线圈两端的电压信号u与时间t的关系如图乙所示(abcd均为直线),t1t2t3t4是运动过程的四个时刻,则火车

   

A.在t1~t2时间内做匀加速直线运动

B.在t3~t4时间内做匀减速直线运动

C.在t1~t2时间内加速度大小为

D.在t3~ t4时间内平均速度的大小为

查看答案和解析>>

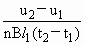
2006年7月1日,世界上海拔最高、线路最长的青藏铁路全线通车,青藏铁路安装的一种电磁装置可以向控制中心传输信号,以确定火车的位置和运动状态,其原理是将能产生匀强磁场的磁铁安装在火车首节车厢下面,如图甲所示(俯视图),当它经过安放在两铁轨间的线圈时,线圈便产生一个电信号传输给控制中心.线圈边长分别为l1和l2,匝数为n,线圈和传输线的电阻忽略不计.若火车通过线圈时,控制中心接收到线圈两端的电压信号u与时间t的关系如图乙所示(ab、cd均为直线),t1、t2、t3、t4是运动过程的四个时刻,则火车(  )

精英家教网
A.在t1~t2时间内做匀加速直线运动
B.在t3~t4时间内做匀减速直线运动
C.在t1~t2时间内加速度大小为
u2-u1
Bl1(t2-t1)
D.在t3~t4时间内平均速度的大小为
u3+u4
2nBl1

查看答案和解析>>


同步练习册答案