10.如图8所示.MN.PQ分别表示小河的两岸.小河流水速度恒定.方向由M指向N.甲.乙两只小船先后在河岸的A处开始渡河.小船甲以最短时间过河.小船乙以最短位移过河.两只小船都沿轨迹AB到达对岸的B点.AB与河岸的夹角为θ.则 A.两船在静水中的速度大小之比V甲:V乙=1:cosθ B.两船在静水中的速度大小之比V甲:V乙=1:sinθ C.两船过河的时间之比t甲:t乙=cosθ:1 D.两船过河的时间之比t甲:t乙=cos2θ:1 查看更多

 

题目列表(包括答案和解析)

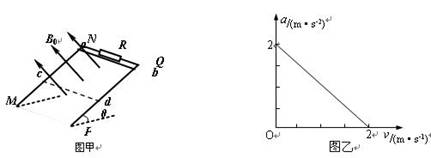
如图甲所示,MN、PQ为间距L=0.5m足够长的平行导轨,NQ⊥MN,导轨的电阻均不计.导轨平面与水平面间的夹角θ=37°,NQ间连接有一个R=4Ω的电阻.有一匀强磁场垂直于导轨平面且方向向上,磁感应强度为B0=1T.将一根质量为m=0.05kg的金属棒ab紧靠NQ放置在导轨上,且与导轨接触良好.现由静止释放金属棒,当金属棒滑行至cd处时达到稳定速度,已知在此过程中通过金属棒截面的电量q=0.2C,且金属棒的加速度a与速度v的关系如图乙所示,设金属棒沿导轨向下运动过程中始终与NQ平行.(取g=10m/s2,sin37°=0.6,cos37°=0.8).求:
(1)金属棒与导轨间的动摩擦因数μ
(2)cd离NQ的距离s
(3)金属棒滑行至cd处的过程中,电阻R上产生的热量
(4)若将金属棒滑行至cd处的时刻记作t=0,从此时刻起,让磁感应强度逐渐减小,为使金属棒中不产生感应电流,则磁感应强度B应怎样随时间t变化(写出B与t的关系式).

查看答案和解析>>

如图甲所示,MN、PQ为间距l=1m足够长的f行导轨,NQ⊥MN,导轨的电阻均不计.导轨平面与水平面问的夹角θ=37°,NQ间连接有一个R=4Ω的电阻.有一匀强磁场垂直于导轨平面且方向向上,磁感应强度为B0=1T.将一质量为m=O.1kg电阻未知的金属棒ab紧靠NQ放置在导轨上,且与导轨接触良好.现由静止释放金属棒,当金属棒滑行至cd处时达到稳定速度,已知在此过程中通过金属棒截面的电量q=0.2C,且金属棒的加速度a与速度v的关系如图乙所示,没金属棒沿导轨向下运动精英家教网过程中始终与NQ平行.
(sin37°=0.6,cos37°=0.8,g取10m/s2),求:
(1)金属棒与导轨间的动摩擦因数μ.
(2)cd离NQ的距离x.
(3)金属捧滑行至cd处的过程中,电阻R上产生的热量.

查看答案和解析>>

如图甲所示,MN、PQ为间距L=0.5m足够长的平行粗糙导轨,NQ⊥MN,导轨的电阻均不计.导轨平面与水平面间的夹角θ=37°,NQ间连接有一个R=4Ω的电阻.有一匀强磁场垂直于导轨平面且方向向上,磁感应强度为B=1T.将一根质量为m=0.05kg的金属棒ab紧靠NQ放置在导轨上,且与导轨接触良好.现由静止释放金属棒,当金属棒滑行s=2m至cd处时达到稳定速度,已知在此过程中金属棒的加速度a与速度v的关系如图乙所示,设金属棒沿导轨向下运动过程中始终与NQ平行.(sin37°=0.6,cos37°=0.8,g=10m/s2).求:
(1)金属棒刚释放时的加速度a以及金属棒与导轨间的动摩擦因数μ
(2)金属棒滑行至cd处的过程中,金属棒上产生的热量Q
(3)金属棒由静止释放到达到稳定速度的过程中,通过金属棒的电荷量q

查看答案和解析>>

如图8所示,MN为水平放置的光滑圆盘,半径为1.0m,其中心O处有一个小孔,穿过小孔的细绳两端各系一小球ABAB两球的质量相等。圆盘上的小球A作匀速圆周运动。问:

(1)当A球的轨道半径为0.20m时,它的角速度是多大才能维持B球静止?(6分)
(2)若将前一问求得的角速度减半,怎样做才能使A作圆周运动时B球仍能保持静止?

查看答案和解析>>

如图甲所示,MNPQ为间距L=0.5m足够长的平行导轨,NQ⊥MN,导轨的电阻均不计。导轨平面与水平面间的夹角θ=37°,NQ间连接有一个R=4Ω的电阻。有一匀强磁场垂直于导轨平面且方向向上,磁感应强度为B0=1T。将一根质量为m=0.05kg的金属棒ab紧靠NQ放置在导轨上,且与导轨接触良好。现由静止释放金属棒,当金属棒滑行至cd处时达到稳定速度,已知在此过程中通过金属棒截面的电量q=0.2C,且金属棒的加速度a与速度v的关系如图乙所示,设金属棒沿导轨向下运动过程中始终与NQ平行。(取g=10m/s2,sin37°=0.6,cos37°=0.8)。求:

(1)金属棒与导轨间的动摩擦因数μ(2)cd离NQ的距离s

(3)金属棒滑行至cd处的过程中,电阻R上产生的热量

(4)若将金属棒滑行至cd处的时刻记作t=0,从此时刻起,让磁感应强度逐渐减小,为使金属棒中不产生感应电流,则磁感应强度B应怎样随时间t变化(写出B与t的关系式)。

 

查看答案和解析>>


同步练习册答案