如图所示.A.B两个完全相同的光滑球的质量均为M.放在竖直挡板和倾角为θ的固定斜面间.若缓慢转动挡板至与斜面垂直.在此过程中 A.A.B两球间的弹力逐渐增大 B.B球对挡板的压力逐渐减小 C.B球对斜面的压力逐渐增大 D.A球对斜面的压力不变 查看更多

 

题目列表(包括答案和解析)

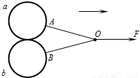
如图所示,a、b两个完全相同的光滑小球紧贴在一起,都放在光滑水平桌面上,球的半径都为R,质量均为m,它们用长为2L的细绳连结在一起,在细绳的中点O处有一水平恒力F拉着两个小球共同向右做匀加速直线运动.在运动过程中,求:
(1)两球运动的加速度大小;
(2)OA段绳的拉力FA
(3)b球对a球压力FN的大小.

查看答案和解析>>

如图所示,a、b两个完全相同的光滑小球紧贴在一起,都放在光滑水平桌面上,球的半径都为R,质量均为m,它们用长为2L的细绳连结在一起,在细绳的中点O处有一水平恒力F拉着两个小球共同向右做匀加速直线运动.在运动过程中,求:
(1)两球运动的加速度大小;
(2)OA段绳的拉力FA
(3)b球对a球压力FN的大小.

查看答案和解析>>

如图所示,a、b两个完全相同的光滑小球紧贴在一起,都放在光滑水平桌面上,球的半径都为R,质量均为m,它们用长为2L的细绳连结在一起,在细绳的中点O处有一水平恒力F拉着两个小球共同向右做匀加速直线运动.在运动过程中,求:
(1)两球运动的加速度大小;
(2)OA段绳的拉力FA
(3)b球对a球压力FN的大小.
精英家教网

查看答案和解析>>

如图所示,a、b两个完全相同的光滑小球紧贴在一起,都放在光滑水平桌面上,球的半径都为R,质量均为m,它们用长为2L的细绳连结在一起,在细绳的中点O处有一水平恒力F拉着两个小球共同向右做匀加速直线运动.在运动过程中,求:
(1)两球运动的加速度大小;
(2)OA段绳的拉力FA
(3)b球对a球压力FN的大小.

查看答案和解析>>

如图所示,AB两个完全相同的均质光滑球质量均为m,放在光滑竖直挡板与倾角为的光滑斜面之间。若缓慢转动挡板至与斜面垂直,则下列对转动过程中的有关判断正确的是(       )。
(A)AB两球间的弹力逐渐增大   (B)B球对挡板的压力逐渐减小
(C)B球对斜面的压力逐渐减小    (D)A球对斜面的压力逐渐减小

查看答案和解析>>


同步练习册答案