6.如图所示.木块A.B并排且固定在水平桌面上.A的长度是L.B的长度是2L.一颗子弹沿水平方向以速度v1射入A.以速度v2穿出B.子弹可视为质点.其运动视为匀变速直线运动.则子弹穿出A时的速度为 ( ) A. B. C. D. 查看更多

 

题目列表(包括答案和解析)

精英家教网如图所示,木块A、B并排且固定在水平桌面上,A的长度是L,B的长度是3L,一颗子弹沿水平方向以速度v1射入A,以速度v2穿出B,子弹可视为质点,其运动视为匀变速直线运动,则子弹穿出A时的速度为(  )

查看答案和解析>>

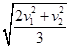
如图所示,木块A、B并排且固定在水平桌面上,A的长度是L,B的长度是2L,一颗子弹沿水平方向以速度v1射入A,以速度v2穿出B,子弹可视为质点,其运动视为匀变速直线运动,则子弹穿出A时的速度为(  )

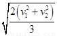
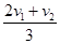
A.     B.     C.       D.v1

 

查看答案和解析>>

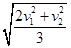
如图所示,木块A、B并排且固定在水平桌面上,A的长度是L,B的长度是2L,一颗子弹沿水平方向以速度v1射入A,以速度v2穿出B,子弹可视为质点,其运动视为匀变速直线运动,则子弹穿出A时的速度为(    )

A.    B.        C.     D.

 

查看答案和解析>>

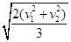
如图所示,木块A、B并排且固定在水平桌面上,A的长度是L,B的长度是2L,一颗子弹沿水平方向以速度v1射入A,以速度v2穿出B,子弹可视为质点,其运动视为匀变速直线运动,则子弹穿出A时的速度为(   )

A.    B.        C.     D.

查看答案和解析>>

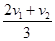
如图所示,木块A、B并排且固定在水平桌面上,A的长度是L,B的长度是2L,一颗子弹沿水平方向以速度v1射入A,以速度v2穿出B,子弹可视为质点,其运动视为匀变速直线运动,则子弹穿出A时的速度为(  )

A.    B.     C.       D.v1

查看答案和解析>>


同步练习册答案