5.垂直纸面的匀强磁场区域里.一离子从原点O沿纸面向x轴正方向飞出.其运动轨迹可能是下图中的 查看更多

 

题目列表(包括答案和解析)

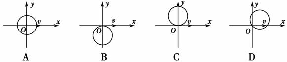
垂直纸面的匀强磁场区域里,一离子从原点O沿纸面向x轴正方向飞出,其运动轨迹可能是下图中的(  )

查看答案和解析>>

垂直纸面的匀强磁场区域里,一离子从原点O沿纸面向x轴正方向飞出,其运动轨迹可能是下图中的(  ).

查看答案和解析>>

垂直纸面的匀强磁场区域里,一离子从原点O沿纸面向x轴正方向飞出,其运动轨迹可能是下图中的(  )

 

查看答案和解析>>

垂直纸面的匀强磁场区域里,一离子从原点O沿纸面向x轴正方向飞出,其运动轨迹可能是下图中的(  )
A.
精英家教网
B.
精英家教网
C.
精英家教网
D.
精英家教网

查看答案和解析>>

垂直纸面的匀强磁场区域里,一离子从原点O沿纸面向x轴正方向飞出,其运动轨迹可能是下图中的( )
A.
B.
C.
D.

查看答案和解析>>


同步练习册答案