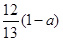
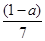
35.现有乙酸.乙烯和丙烯(C3H6)的混合物.其中氧的质量分数为a,则碳的质量分数是( ) A. B. C. D. Ⅱ卷(共40分.请将正确答案填写在答卷纸的相应位置上.) 查看更多

 

题目列表(包括答案和解析)

现有乙酸、乙烯和丙烯(C3H6)的混合物,其中氧的质量分数为a,则碳的质量分数是(  )

查看答案和解析>>

现有乙酸、乙烯和丙烯(C3H6)的混合物,其中氧的质量分数为a,则碳的质量分数是(  )

A.B.C.D.

查看答案和解析>>

现有乙酸、乙烯和丙烯(C3H6)的混合物,其中氧的质量分数为a,则碳的质量分数是:

A.B.C.D.

查看答案和解析>>

现有乙酸、乙烯和丙烯(C3H6)的混合物,其中氧的质量分数为a,则碳的质量分数是:

A.          B.              C.         D.

 

查看答案和解析>>

现有乙酸、乙烯和丙烯(C3H6)的混合物,其中氧的质量分数为a,则碳的质量分数是(   )

A.          B.             C.         D.

 

查看答案和解析>>


同步练习册答案