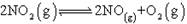
12.一定条件下.反应.下列哪一种状态可能没有达到化学反应限度: A.速率比:V(NO2):V(NO):V(O2)=2:2:l时的状态 B.混合气体的平均相对分子质量保持不变时的状态 C.生成NO2的速率与生成O2的速率比等于2:l时的状态 D.体系中的颜色保持不变时的状态 查看更多

 

题目列表(包括答案和解析)

一定条件下,反应,下列哪一种状态可能没有达到化学反应限度:   

    A.速率比:V(NO2):V(NO):V(O2)=2:2:l时的状态

    B.混合气体的平均相对分子质量保持不变时的状态

    C.生成NO2的速率与生成O2的速率比等于2:l时的状态

    D.体系中的颜色保持不变时的状态   

 

查看答案和解析>>

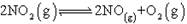
一定条件下,反应,下列哪一种状态可能没有达到化学反应限度:   

    A.速率比:V(NO2):V(NO):V(O2)=2:2:l时的状态

    B.混合气体的平均相对分子质量保持不变时的状态

    C.生成NO2的速率与生成O2的速率比等于2:l时的状态

    D.体系中的颜色保持不变时的状态    

查看答案和解析>>

一定条件下,反应,下列哪一种状态可能没有达到化学反应限度:   

    A.速率比:V(NO2):V(NO):V(O2)=2:2:l时的状态

    B.混合气体的平均相对分子质量保持不变时的状态

    C.生成NO2的速率与生成O2的速率比等于2:l时的状态

    D.体系中的颜色保持不变时的状态   

 

查看答案和解析>>

一定条件下,反应,下列哪一种状态可能没有达到化学反应限度:   

A.速率比:V(NO2):V(NO):V(O2)=2:2:l时的状态
B.混合气体的平均相对分子质量保持不变时的状态
C.生成NO2的速率与生成O2的速率比等于2:l时的状态
D.体系中的颜色保持不变时的状态K^S*5U.C#

查看答案和解析>>

一定条件下,反应,下列哪一种状态可能没有达到化学反应限度:   
A.速率比:V(NO2):V(NO):V(O2)=2:2:l时的状态
B.混合气体的平均相对分子质量保持不变时的状态
C.生成NO2的速率与生成O2的速率比等于2:l时的状态
D.体系中的颜色保持不变时的状态

查看答案和解析>>


同步练习册答案