完成下列各步的化学反应方程式.并注明反应类型 ① ② ③ ④ ⑤ 查看更多

 

题目列表(包括答案和解析)

某研究性学习小组为证明在相同条件下,同浓度同体积强弱不同的一元酸与同一种金属反应时,生成氢气的速率不同,同时测定该温度和压强下的气体摩尔体积,设计组装了两套如下图所示的简易实验装置。该实验的主要操作步骤如下:

①配制浓度均为1 mol·L-1的盐酸和醋酸溶液;

②在广口瓶乙中装水,按图示连接好装置,检查装置的气密性;

③量取10.00 mL 1 mol·L-1的盐酸和醋酸溶液分别加入两套装置的锥形瓶中;

④称取两份质量均为a g的镁条(除去表面氧化膜、表面积相同),并固定于塑料杆末端;

⑤同时将塑料杆向下移动,使镁条浸入酸中至反应完全;

⑥反应结束后待温度恢复到室温,读出量筒中水的体积为V mL。

请根据上述步骤回答下列问题:

(1)用文字表述步骤②中检查该装置气密性的方法:_____________________。

(2)量取10.00 mL1mol·L-1盐酸和醋酸溶液分别注入锥形瓶中时,所用的仪器是_________(填下列各项序号字母)。

A.50 mL量筒                               B.10 mL量筒

C.25 mL酸式滴定管                      D.25 mL碱式滴定管

(3)步骤④中,理论上称取的镁条质量不能少于_________ g。

(4)步骤⑤中需记录的数据是_______;实验过程中观察到的主要现象是______________。

(5)步骤⑥中,读取量筒中水的体积时若俯视读数,对计算该条件下的气体摩尔体积影响为_________(填“偏大”“偏小”或“无法确定”)。

(6)为保证实验顺利进行,仪器丙应选用的规格是_________(填序号字母)。

A.100 mL             B.200 mL              C.500 mL

(7)若水蒸气的挥发影响忽略不计,在该温度和压强下,气体摩尔体积为______ L·mol-1

查看答案和解析>>

研究表明,火灾中绝大多数人的第一死因并非高温烘烤或火烧,而是慌乱奔跑时吸入烟雾中毒。且起火的建筑装修越豪华,这一点越明显。聚氯乙烯是制作装修材料的最常用原料,失火时聚氯乙烯在不同的温度下,发生一系列复杂的化学变化,产生大量有害气体,其过程大体如下:

请完成下列问题:

(1)火灾中由聚氯乙烯产生的有害气体,其化学成分主要是________,你认为其中含量最大的为______________,在火灾现场,为防止气体中毒的防护措施是_____________

 (2)工业上用乙烯和氯气为原料经下列各步合成聚氯乙烯PVC:

乙烯PVC

乙是PVC的单体,其结构简式为________,反应①、②的化学方程式分别为:

________________________、___________________________。

(3)聚氯乙烯可以制成保鲜膜,化学工作者十分关注聚氯乙烯(PVC)保鲜膜的安全问题。聚氯乙烯(PVC)保鲜膜的安全隐患主要来自于塑料中残留的PVC单体以及不符合国家标准的增塑剂DEHA。邻苯二甲酸辛酯(DOP)是国家标准中允许使用的增塑剂之一,邻苯二甲酸酐()是制造DOP的原料,它跟过量的甲醇反应能得到另一种增塑剂DMP(分子式为C10H10O4),DMP属于芳香酸酯,写出制取DMP的反应方程式:_____________

 

查看答案和解析>>

(14分)植物枝叶提取的精油中含有下列甲、乙、丙三种成分:

(1)甲中含氧官能团名称               

(2)由甲转化为乙需经下列过程(已略去各步反应的无关产物,下同):

其中反应Ⅰ的反应类型为          ____ ,反应Ⅱ的化学方程式          ___________________________________________________(注明反应条件)。

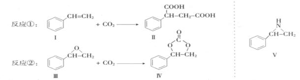
(3)固定和利用CO2能有效地利用资源,并减少空气中的温室气体.O2与化合物Ⅰ反应生成化合物Ⅱ,与化合物Ⅲ反应生成化合物Ⅳ,如反应①和②所示(其他试剂、产物及反应条件均省略).

①化合物Ⅰ的分子式        ,1 mol该物质完全燃烧需消耗       mol O2

②由通过消去反应制备Ⅰ的化学方程式为

         __________________________________________(注明反应条件)。

③Ⅱ与过量C2H5OH在酸催化下发生酯化反应,生成的有机物的结构简式为_______________.

 

查看答案和解析>>

(14分)植物枝叶提取的精油中含有下列甲、乙、丙三种成分:

(1)甲中含氧官能团名称               
(2)由甲转化为乙需经下列过程(已略去各步反应的无关产物,下同):

其中反应Ⅰ的反应类型为           ____ ,反应Ⅱ的化学方程式           ___________________________________________________(注明反应条件)。
(3)固定和利用CO2能有效地利用资源,并减少空气中的温室气体.O2与化合物Ⅰ反应生成化合物Ⅱ,与化合物Ⅲ反应生成化合物Ⅳ,如反应①和②所示(其他试剂、产物及反应条件均省略).

①化合物Ⅰ的分子式       ,1 mol该物质完全燃烧需消耗       mol O2
②由通过消去反应制备Ⅰ的化学方程式为
          __________________________________________(注明反应条件)。
③Ⅱ与过量C2H5OH在酸催化下发生酯化反应,生成的有机物的结构简式为_______________.

查看答案和解析>>

(14分)植物枝叶提取的精油中含有下列甲、乙、丙三种成分:

(1)甲中含氧官能团名称               

(2)由甲转化为乙需经下列过程(已略去各步反应的无关产物,下同):

其中反应Ⅰ的反应类型为           ____ ,反应Ⅱ的化学方程式           ___________________________________________________(注明反应条件)。

(3)固定和利用CO2能有效地利用资源,并减少空气中的温室气体.O2与化合物Ⅰ反应生成化合物Ⅱ,与化合物Ⅲ反应生成化合物Ⅳ,如反应①和②所示(其他试剂、产物及反应条件均省略).

①化合物Ⅰ的分子式        ,1 mol该物质完全燃烧需消耗        mol O2

②由通过消去反应制备Ⅰ的化学方程式为

          __________________________________________(注明反应条件)。

③Ⅱ与过量C2H5OH在酸催化下发生酯化反应,生成的有机物的结构简式为_______________.

 

查看答案和解析>>


同步练习册答案