15.从柑桔中可提炼出苧烯().下列关于苧烯的说法中.正确的是 A.不溶于水.能发生加聚反应生成高分子化合物 B.与过量的Br2的CCl4 溶液反应的产物可能为 C.分子式为C10H16.是1,3-丁二烯的同系物 D.其分子内所有的碳原子均在同一平面上 查看更多

 

题目列表(包括答案和解析)

从柑桔中可提炼出苧烯()。下列关于苧烯的说法中,正确的是

    A.分子式为C10H16,是1,3-丁二烯的同系物

B.其分子内所有的碳原子均在同一平面上

    C.不溶于水,能发生加聚反应生成高分子化合物

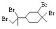
    D.与过量的Br2的CCl4 溶液反应的产物为:

 

查看答案和解析>>

从柑桔中可提炼出苧烯()。下列关于苧烯的说法中,正确的是
[     ]
A.分子式为C10H16,是1,3-丁二烯的同系物
B.其分子内所有的碳原子均在同一平面上
C.不溶于水,能发生加聚反应生成高分子化合物
D.与过量的Br2的CCl4溶液反应的产物为:

查看答案和解析>>

从柑桔中可提炼出苧烯()。下列关于苧烯的说法中,正确的是

    A.分子式为C10H16,是1,3-丁二烯的同系物

B.其分子内所有的碳原子均在同一平面上

    C.不溶于水,能发生加聚反应生成高分子化合物

    D.与过量的Br2的CCl4 溶液反应的产物为:

查看答案和解析>>

从柑桔中可提炼出苧烯()。下列关于苧烯的说法中,正确的是

    A.分子式为C10H16,是1,3-丁二烯的同系物

B.其分子内所有的碳原子均在同一平面上

    C.不溶于水,能发生加聚反应生成高分子化合物

    D.与过量的Br2的CCl4溶液反应的产物为:

 

查看答案和解析>>

从柑桔中可提炼出苧烯()。下列关于苧烯的说法中,正确的是

A.分子式为C10H16,是1,3-丁二烯的同系物
B.其分子内所有的碳原子均在同一平面上
C.不溶于水,能发生加聚反应生成高分子化合物
D.与过量的Br2的CCl4溶液反应的产物为:

查看答案和解析>>


同步练习册答案