实验室制取乙烯.常因温度过高而使乙醇和浓硫酸反应生成少量的SO2.某同学设计下列实验以确定上述混合气体中含有乙烯和SO2. (1)I.II.III.IV装置可盛放的试剂是:I II III IV (请将下列有关试剂的序号填入空格内) A.品红 B.NaOH溶液 C.浓硫酸 D.酸性KMnO4溶液 (2)能说明SO2气体存在的现象是 , (3)使用装置II的目的是 , (4)使用装置III的目的是 , (5)确定含有乙烯的现象是 . 查看更多

 

题目列表(包括答案和解析)

(16分,每空2分)(1)已知丙酮[ CH3COCH3 ]键线式可表示为根据键线式回答下列问题:
 分子式:                   ,结构简式:                     
(2) 分子中最多有              个原子共直线;最多有         个原子共平面
(3)有机物CH3CH(C2H5)CH(CH3)2的名称是                                 
(4)写出由苯丙烯(   )在催化剂作用下生成聚苯丙烯的反应方程式:
                                                                    
(5)有多种的同分异构体,其中属于芳香族羧酸的同分异构体共有4种,它们的结构简式是:                          、(任写其中二种)

查看答案和解析>>

(16分,每空2分)(1)已知丙酮[ CH3COCH3 ]键线式可表示为根据键线式回答下列问题:

  分子式:                    ,结构简式:                     

(2)  分子中最多有               个原子共直线;最多有          个原子共平面

(3)有机物CH3CH(C2H5)CH(CH3)2的名称是                                 

(4)写出由苯丙烯(    )在催化剂作用下生成聚苯丙烯的反应方程式:

                                                                     

(5) 有多种的同分异构体,其中属于芳香族羧酸的同分异构体共有4种,它们的结构简式是:                            、(任写其中二种)

查看答案和解析>>

(每空2  1620世纪50年代科学家提出价层电子对互斥模型(简称VSEPR模型),用于预测简单分子立体结构。其要点可以概括为:

Ⅰ、用AXnEm表示只含一个中心原子的分子组成,A为中心原子,X为与中心原子相结合的原子,E为中心原子最外层未参与成键的电子对(称为孤对电子),(nm)称为价层电子对数。分子中的价层电子对总是互相排斥,均匀的分布在中心原子周围的空间;

Ⅱ、分子的立体构型是指分子中的原子在空间的排布,不包括中心原子未成键的孤对电子; Ⅲ、分子中价层电子对之间的斥力主要顺序为:  i、孤对电子之间的斥力>孤对电子对与共用电子对之间的斥力>共用电子对之间的斥力;  ii、双键与双键之间的斥力>双键与单键之间的斥力>单键与单键之间的斥力;  iii、X原子得电子能力越弱,A-X形成的共用电子对之间的斥力越强;  iv、其他。

 请仔细阅读上述材料,回答下列问题:

(1)根据要点I可以画出AXnEm的VSEPR理想模型,请填写下表:

nm

2

 

VSEPR理想模型

 

正四面体

价层电子对之间的理想键角

 

109°28′

(2)请用VSEPR模型解释CO2为直线型分子的原因                        

(3) H2O分子的立体构型为:           ,请你预测水分子中∠H-O-H的大小范围为           ,原因是                                  

(4) SO2Cl2和SO2F2都属AX4E0型分子,S=O之间以双键结合,S-Cl、S-F之间以单键结合。请你预测 SO2Cl2和SO2F2分子的立体构型:             

 

查看答案和解析>>

(每空2分,共16分)有X、Y、Z三种单质和甲、乙、丙三种常见的化合物,它们有如下图及叙述所示的关系:

(1).X、Y、Z都是短周期元素的单质,X元素原子的最外层电子数是其次外层电子数的2倍;Y元素有两种常见单质,二者质量相等时其物质的量之比为3 :2;Z元素原子的次外层电子数是其最外层电子数的4倍。则:

①写出化合物甲的电子式___________________;

②写出Z与甲反应的化学方程式__________________________________________________;

(2).X、Y、Z都是非金属单质,X是原子晶体,Y、Z都是分子晶体,X、Y都能与强碱溶液反应;乙的水溶液是工业三酸之一,也是实验室常用试剂。则:

①写出X与NaOH溶液反应的离子方程式________________________________________;

②Z与甲的反应的一种重要工业用途是___________________________________________;

③在①所得溶液中加入乙的溶液,观察到的现象______________________________________________________________________                                        

(3).X、Z是常见金属,Z与甲的反应只有在高温下才能进行,甲是一种具有磁性的化合物,乙在工业上常用于制取Z单质。则:

①写出乙与NaOH溶液反应的化学方程式_________________________________________________                          

②将①所得溶液与小苏打溶液的混合观察到的现象是___________________________________                                        

③将等物质的量的X和Z分别与足量的稀硫酸反应,当两种金属完全溶解后,得到气体的质量之比是____________________________。

 

查看答案和解析>>

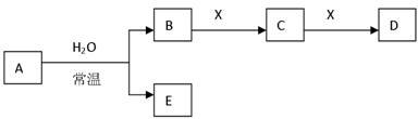
(每空2分,共16分)

A、B、C、D、E、X 都是短周期元素组成的常见无机物

根据上框图关系,完成下列问题:

(1)A可作漂白剂,X是含有某种阳离子(此阳离子具有净水作用)的溶液,且M(A)=M(D),

则A与H2O反应的化学方程式为            ,C转化成D的离子方程式为       

     

(2)A的某种合金可作原子反应堆的导热剂,X是非极性分子的化合物,则A与H2O反应的离子方程式为                 ,C转化成D的化学方程式为              

(3)A是单质,X是Na2CO3溶液,E可用消毒剂,则A与H2O反应的离子方程式为    

                     

(4)A是单质,X是单质(它的同素异形体是原子晶体),则E与SiO2反应的化学方程式为                     

(5)A是化合物,X是O2,C转化成D还需要催化剂,E具有两性,则A与H2O反应的化学方程式为             

(6)A是化合物(Mr(A)=100),X是O2,B转化成C还需要催化剂,E是中强碱,则A

与H2O反应的化学方程式为           

 

查看答案和解析>>


同步练习册答案