维生素C的结构如右图所示.下列叙述中错误的是 A.维生素C的分子式为C6H8O6 B.维生素C具有强还原性.能防治坏血病 C.维生素C能发生水解反应.加成反应 D.维生素C在胡萝卜.鱼肝油中含量较多 查看更多

 

题目列表(包括答案和解析)

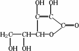
维生素C是一种水溶性维生素(其水溶液呈酸性)化学式为C6H8O6,结构如图所示.人体缺乏这种维生素C易得坏血症,所以维生素C又称抗坏血酸.维生素C易被空气中的氧气氧化.在新鲜的水果、蔬菜、乳制品中都含维生素C,如新鲜的橙汁中维生素C的含量在500 mg/L左右.下列关于维生素C的叙述错误的是

[  ]

A.

维生素C能使溴水褪色

B.

维生素C可作食品添加剂

C.

维生素C可发生水解反应

D.

维生素C不能发生氧化反应

查看答案和解析>>

维生素C是一种水溶性维生素(其水溶液呈酸性)化学式为C6H8O6,结构如下图所示.人体缺乏这种维生素C易得坏血症,所以维生素C又称抗坏血酸.维生素C易被空气中的氧气氧化.在新鲜的水果、蔬菜、乳制品中都含维生素C,如新鲜的橙汁中维生素C的含量在500 mg/L左右.下列关于维生素C的叙述错误的是


  1. A.
    维生素C能使溴水褪色
  2. B.
    维生素C可作食品添加剂
  3. C.
    维生素C可发生水解反应
  4. D.
    维生素C不能发生氧化反应

查看答案和解析>>

维生素C是一种水溶性维生素(其水溶液呈酸性)化学式为C6H8O6,结构如下图所示.人体缺乏这种维生素C易得坏血症,所以维生素C又称抗坏血酸.维生素C易被空气中的氧气氧化.在新鲜的水果、蔬菜、乳制品中都含维生素C,如新鲜的橙汁中维生素C的含量在500 mg/L左右.下列关于维生素C的叙述错误的是

[  ]

A.

维生素C能使溴水褪色

B.

维生素C可作食品添加剂

C.

维生素C可发生水解反应

D.

维生素C不能发生氧化反应

查看答案和解析>>

精英家教网维生素C是一种水溶性维生素(其水溶液呈酸性)化学式为C6H8O6,结构如图所示.人体缺乏这种维生素C易得坏血症,所以维生素C又称抗坏血酸.维生素C易被空气中的氧气氧化.在新鲜的水果、蔬菜、乳制品中都含维生素C,如新鲜的橙汁中维生素C的含量在500mg/L左右.下列关于维生素C的叙述错误的是(  )
A、维生素C能使溴水褪色B、维生素C可作食品添加剂C、维生素C可发生水解反应D、维生素C不能发生氧化反应

查看答案和解析>>

维生素C是一种水溶性维生素(其水溶液呈酸性)化学式为C6H8O6,结构如图所示。人体缺乏这种维生素C易得坏血 症,所以维生素C又称抗坏血酸。维生素C易被空气中的氧气氧化。在新鲜的水果、蔬菜、乳制品中都含维生素C,如新鲜的橙汁中维生素C的含量在500mg/L左右。下列关于维生素C的叙述错误的是 

A.维生素C能使溴水褪色        B.维生素C可作食品添加剂

C.维生素C可发生水解反应      D.维生素C不能发生氧化反应

查看答案和解析>>


同步练习册答案