35.既能通过物理反应使溴水褪色.又沉在水底的有机物是 A.苯 B.汽油 C.四氯化碳 D.植物油 查看更多

 

题目列表(包括答案和解析)

既能通过物理反应使溴水褪色,又沉在水底的有机物是
[     ]
A.苯
B.汽油
C.四氯化碳
D.植物油

查看答案和解析>>

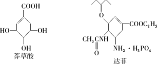
2005年禽流感在全球蔓延,百姓谈“禽”色变。目前通过从香料八角中提取的莽草酸制得的达菲是抗禽流感病毒特效药物。下列有关描述正确的是


  1. A.
    高温、紫外线都不能使禽流感病毒失去生理活性
  2. B.
    莽草酸既能与H2发生加成,又能与FeCl3溶液反应显紫色
  3. C.
    莽草酸、达菲都能使溴水或酸性KMnO4溶液褪色
  4. D.
    1mol达菲与NaOH溶液反应,消耗NaOH的物质的量最多为4mol

查看答案和解析>>

2005年禽流感在全球蔓延,百姓谈“禽”色变。目前通过从香料八角中提取的莽草酸制得的达菲是抗禽流感病毒特效药物。下列有关描述正确的是

A.高温、紫外线都能使禽流感病毒失去生理活性

B.莽草酸既能与H2发生加成,又能与FeCl3溶液反应显紫色

C.莽草酸、达菲都能使溴水或KMnO4酸性溶液褪色

D.1 mol达菲与NaOH溶液反应,消耗NaOH的物质的量最多为4 mol

查看答案和解析>>

2005年禽流感在全球蔓延,百姓谈“禽”色变。目前通过从香料八角中提取的莽草酸制得的达菲是抗禽流感病毒特效药物。下列有关描述正确的是 …(    )

A.高温、紫外线都能使禽流感病毒失去生理活性

B.莽草酸既能与H2发生加成,又能与FeCl3溶液反应显紫色

C.莽草酸、达菲都能使溴水或KMnO4酸性溶液褪色

D.1 mol达菲与NaOH溶液反应,消耗NaOH的物质的量最多为4 mol

 

查看答案和解析>>

2005年禽流感在全球蔓延,百姓谈“禽”色变.目前通过从香料八角中提取的莽草酸制得的达菲是抗禽流感病毒特效药物.下列有关描述正确的是

A.

高温、紫外线都能使禽流感病毒失去生理活性

B.

莽草酸既能与H2发生加成,又能与FeCl3溶液反应显紫色

C.

莽草酸、达菲都能使溴水或酸性KMnO4溶液褪色

D.

1 mol达菲与NaOH溶液反应,消耗NaOH的物质的量最多为3 mol

查看答案和解析>>


同步练习册答案