甲醛和苯酚在浓盐酸催化下受热发生如下反应: 则下列说法正确的是 . A.该反应是聚合反应.但不属加成反应 B.该反应是聚合反应.但不属取代反应 C.该反应是加成反应.又属于加聚反应 D.该反应是取代反应.又属于缩聚反应 E.该反应是消去反应.消去的小分子是H2O分子 查看更多

 

题目列表(包括答案和解析)

新装修的居室中常会缓慢释放出污染物,进而影响人体健康.这些污染物最常见的是(  )

查看答案和解析>>

(2010?扬州模拟)氯碱工业的原料饱和食盐水中含有一定量的铵根离子,在电解时会生成性质极不稳定的三氯化氮,容易引起爆炸.
(1)三氯化氮易水解,其水解的最初产物除生成氨气外,另一产物为
HClO
HClO

(2)为除去饱和食盐水中的铵根离子,可在碱性条件下通入氯气,反应生成氮气.该反应的离子方程式为
3Cl2+2NH4++8OH-═N2↑+6Cl-+8H2O
3Cl2+2NH4++8OH-═N2↑+6Cl-+8H2O
.该工艺选择氯气的优点是
利用氯碱工业的产品氯气为原料,就近取材,不引入其他杂质离子
利用氯碱工业的产品氯气为原料,就近取材,不引入其他杂质离子
.(答一点即可)
(3)过量氯气用Na2S2O3除去,反应中S2O32-被氧化为SO42-.若过量的氯气为10-3mol/L,则理论上生成的SO42-
5×10-4
5×10-4
mol/L.
(4)生产和实验中广泛采用甲醛法测定样品的含氮量.甲醛和铵根离子的反应如下:4NH4++6HCHO=(CH26N4H+(一元酸)+3H++6H2O.
实验步骤如下:
①甲醛中常含有微量甲酸,应先除去.可取甲醛b mL于锥形瓶,加入1滴酚酞,用浓度为C mol/L的NaOH溶液中和,滴定管的初始读数V1 mL,当溶液呈微红色时,滴定管的读数V2 mL.
②向其中加入饱和食盐水试样a mL,静置1分钟.
③再加1~2滴酚酞,再用上述NaOH溶液滴定至微红色,滴定管的读数V3 mL.则饱和食盐水中的含氮量为
14000C(V3-V2)
a
14000C(V3-V2)
a
mg/L.

查看答案和解析>>

质量相同的下列混合气体不管混合比例如何变化,完全燃烧后生成的CO2和H2O的质量都不会改变的是(  )
A、乙烷和乙烯B、乙炔和苯蒸气C、甲醛和乙酸蒸气D、丙烯和丙炔

查看答案和解析>>

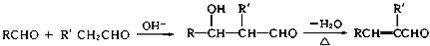
在10%稀碱催化下,醛与醛分子间能发生如图反应:苯甲醛和乙醛发生上述反应生成的是(  )

查看答案和解析>>

用NA表示阿伏加德罗常数的值.下列叙述正确的是(  )

查看答案和解析>>


同步练习册答案