27.新制Cu(OH)2溶液可用来检验某病人是否患糖尿病, 查看更多

 

题目列表(包括答案和解析)

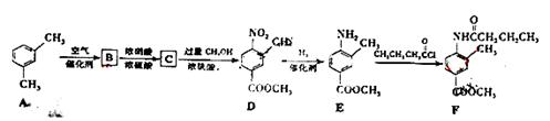
F是新型降压药替米沙坦的中间体,可由下列路线合成:

(1)AB的反应类型是    ,DE的反应类型是     ,EF的反应类型是      

(2)写出满足下列条件的B的所有同分异构体             (写结构简式)。

①含有苯环 ②含有酯基  ③能与新制Cu(OH)2反应

(3)C中含氧官能团名称是        。已知固体C在加热条件下可溶于甲醇,下列CD的有关说法正确的是       

a.使用过量的甲醇,是为了提高D的产量    b.浓硫酸的吸水性可能会导致溶液变黑

c.甲醇即是反应物,又是溶剂              d.D的化学式为C9H9NO4

 

查看答案和解析>>

(14分)F是新型降压药替米沙坦的中间体,可由下列路线合成:

(1)反应类型:   DE:___  _     ,EF:____         
(2)写出满足下列条件的B的所有同分异构体             __________ (写结构简式)。
①含有苯环        ②含有酯基       ③能与新制Cu(OH)2反应
(3)C中含有的官能团名称是    ________________________    。已知固体C在加热条件下可溶于甲醇,下列CD的有关说法正确的是       
a、D的化学式为C9H9NO4
b、浓硫酸的吸水性可能会导致溶液变黑
c、甲醇既是反应物,又是溶剂
(4)E的同分异构苯丙氨酸经缩聚反应形成的高聚物是              ____(写结构简式)。
(5)F在强酸和长时间加热条件下发生水解反应的化学方程式是                _____

查看答案和解析>>

(8分) 现有分子式均为C3H6O2的四种有机物A、B、C、D,且分子中均含甲基,把它们分别进行下列实验以鉴别之,其实验记录如下:

 

NaOH溶液

银氨溶液

新制Cu(OH)2

金属钠

A

中和反应

——

溶  解

产生氢气

B

——

有银镜

加热后有红色沉淀

产生氢气

C

水解反应

有银镜

加热后有红色沉淀

——

D

水解反应

——

——

——

则A、B、C、D的结构简式分别为:

 

A                  ,B                   ,C                   ,D                 

 

 

查看答案和解析>>

相关实验现象的描述正确的是

A.钠在Cl2 中燃烧,产生黄色火焰,伴有黄烟
B.向FeCl3(aq)中滴入KSCN(aq),产生红色沉淀
C.Na2O2溶于含有酚酞的水中,溶液先变红后褪色
D.向新制Cu(OH)2浊液中滴入葡萄糖溶液,微热即出现红色沉淀

查看答案和解析>>

F是新型降压药替米沙坦的中间体,可由下列路线合成:

(1)A→B的反应类型是          ,D→E的反应类型是      ,E→F的反应类型是

          

(2)写出满足下列条件的B的所有同分异构体       (写结构简式)。

①含有苯环   ②含有酯基    ③能与新制Cu(OH)2反应

(3)C中含有的官能团名称是         。已知固体C在加热条件下可溶于甲醇,下列C→D的有关说法正确的是         

a.使用过量的甲醇,是为了提高D的产率 b.浓硫酸的吸水性可能会导致溶液变黑

c. 甲醇既是反应物,又是溶剂       d. D的化学式为 

(4)E的同分异构体苯丙氨酸经聚合反应形成的高聚物是           (写结构简式)。

(5)已知在一定条件下可水解为,则F在强酸和长时间加热条件下发生水解反应的化学方程式是                            

查看答案和解析>>


同步练习册答案