解方程的结果是( ) A. B. C. D.无解 查看更多

 

题目列表(包括答案和解析)

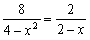
解方程的结果是
A.B.C.D.无解

查看答案和解析>>

解方程的结果是
[     ]
A.x=-2
B.x=2
C.x=4
D.无解

查看答案和解析>>

解方程的结果是
[     ]
A.x=-2
B.x=2
C.x=4
D.无解

查看答案和解析>>

解方程的结果是(  )

A.            B.           C.           D.无解

查看答案和解析>>

解方程的结果是
A.B.C.D.无解

查看答案和解析>>


同步练习册答案