19. 先化简.再求代数式的值: . 其中. 查看更多

 

题目列表(包括答案和解析)

先化简,再求代数式的值:数学公式,其中数学公式

查看答案和解析>>

先化简,再求代数式的值:数学公式,其中数学公式

查看答案和解析>>

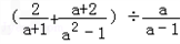
先化简,再求代数式的值:,其中a=tan60°﹣2sin30°.

查看答案和解析>>

先化简,再求代数式的值:,其中a=tan60°-2sin30°.

查看答案和解析>>

先化简,再求代数式的值:,其中a=tan60°-2sin30°.

查看答案和解析>>


同步练习册答案