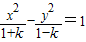
已知方程表示双曲线.则k的取值范围是 .翰林汇 查看更多

 

题目列表(包括答案和解析)

已知方程表示双曲线,则k的取值范围是( )
A.-1<k<1
B.k>0
C.k≥0
D.k>1或k<-1

查看答案和解析>>

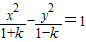
已知方程表示双曲线,则k的取值范围是( )
A.-1<k<1
B.k>0
C.k≥0
D.k>1或k<-1

查看答案和解析>>

已知方程表示双曲线,则k的取值范围是( )
A.-1<k<1
B.k>0
C.k≥0
D.k>1或k<-1

查看答案和解析>>

已知方程表示双曲线,则k的取值范围是( )
A.-1<k<1
B.k>0
C.k≥0
D.k>1或k<-1

查看答案和解析>>

已知方程数学公式表示双曲线,则实数k的取值范围是________.

查看答案和解析>>


同步练习册答案