已知函数的值域是[0,+∞),则实数m的取值范围是 . 查看更多

 

题目列表(包括答案和解析)

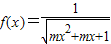
已知函数的值域是[0,+∞),则实数m的取值范围是________.

查看答案和解析>>

已知函数的定义域是R,则实数m的取值范围是( )
A.(-∞,0]∪[4,+∞)
B.[0,4]
C.(0,4]
D.[0,4)

查看答案和解析>>

已知函数的定义域是R,则实数m的取值范围是( )
A.0<m<4
B.0≤m≤4
C.0≤m<4
D.m≥4

查看答案和解析>>

已知函数的定义域是R,则实数m的取值范围是( )
A.0<m<4
B.0≤m≤4
C.0≤m<4
D.m≥4

查看答案和解析>>

已知函数的定义域是R,则实数m的取值范围是( )
A.0<m<4
B.0≤m≤4
C.0≤m<4
D.m≥4

查看答案和解析>>


同步练习册答案