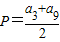
5.已知.则P与Q的大小关系是( ) A.P>Q B.P=Q C.P<Q D.与x值有关 查看更多

 

题目列表(包括答案和解析)

已知等比数列各项均为正数,公比则P与Q的大小关系是              

A.P<Q                       B.P=Q                       C.P>Q                       D.无法确定

查看答案和解析>>

已知等比数列各项均为正数,公比则P与Q的大小关系是              

A.P<Q                       B.P=Q                       C.P>Q                       D.无法确定

查看答案和解析>>

已知等比数列{an}的各项均为正数,公比q≠1,设,则P与Q的大小关系是
[     ]
A.P<Q
B.P=Q
C.P>Q
D.不确定

查看答案和解析>>

已知等比数列{an}的各项均为正数,公比q≠1,设,则P与Q的大小关系是( )
A.P>Q
B.P<Q
C.P=Q
D.无法确定

查看答案和解析>>

已知等比数列{an}的各项均为正数,公比q≠1,设,则P与Q的大小关系是( )
A.P>Q
B.P<Q
C.P=Q
D.无法确定

查看答案和解析>>


同步练习册答案