两定点.动点P在抛物线上移动.则重心G的轨迹方程为( ) A. B. C. D. 查看更多

 

题目列表(包括答案和解析)

海事救援船对一艘失事船进行定位:以失事船的当前位置为原点,以正北方向为y轴正方向建立平面直角坐标系(以1海里为单位长度),则救援船恰好在失事船正南方向12海里A处,如图,现假设:
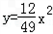
①失事船的移动路径可视为抛物线
②定位后救援船即刻沿直线匀速前往救援;
③救援船出发t小时后,失事船所在位置的横坐标为7t。
(1)当t=0.5时,写出失事船所在位置P的纵坐标,若此时两船恰好会合,求救援船速度的大小和方向。
(2)问救援船的时速至少是多少海里才能追上失事船?

查看答案和解析>>

海事救援船对一艘失事船进行定位:以失事船的当前位置为原点,以正北方向为y轴正方向建立平面直角坐标系(以1海里为单位长度),则救援船恰好在失事船正南方向12海里A处,如图,现假设:
①失事船的移动路径可视为抛物线
②定位后救援船即刻沿直线匀速前往救援;
③救援船出发t小时后,失事船所在位置的横坐标为7t。
(1)当t=0.5时,写出失事船所在位置P的纵坐标,若此时两船恰好会合,求救援船速度的大小和方向。
(2)问救援船的时速至少是多少海里才能追上失事船?

查看答案和解析>>


同步练习册答案